Prediction of overall survival of non-small cell lung cancer with bone metastasis: an analysis of the Surveillance, Epidemiology and End Results (SEER) database
Introduction
Lung cancer (LC) is a leading form of malignancy and accounts for more than 1.8 million new cases yearly (1). Non-small cell lung cancer (NSCLC) represents more than 80% of LC cases (2). Distant metastases have been attributed as the main cause of mortality among patients with LC. Moreover, when patients are diagnosed with NSCLC, about 30–40% of them have already suffered metastasis (3), and the metastatic lesions can be commonly found in the bone, brain and liver (4). The factors like performance and the T stage, N stage, lymph node stage, performance status (PS), gender and weight loss have also been recognized as important prognostic factors of patients with metastatic LC (5-8). With the progress of surgery lung resection, and applications of targeted therapies, chemotherapy, radiotherapy as well as immunotherapy, the survival rate of LC patients, particularly for those diagnosed with NSCLC has significantly increased (8-10). Palliative supportive systemic chemotherapy is a recommended standard therapy for those with metastatic NSCLC, but has been found to be effective in increasing overall survival (OS) by 8–11 months only (11). Generally, the life expectancy of patients depend on the stage of the NSCLC and their potential response to chemotherapy.
Commonly, the symptoms associated with bone metastases of NSCLC patients are pain, occasional fractures, or interference with daily activities (12). Approximately 70% of NSCLC patients are diagnosed in advanced stages and the median overall 5-year survival rate is only at 4–6%. Such low survival rate has been often attributed to the late detection due to the lack of symptoms and high potential of NSCLC to undergo metastasis (13,14). NSCLC patients can also rapidly progress to an advanced stage after initial diagnosis and display metastasis, which often renders the treatment difficult (15). Therefore, there is an urgent need for the development of more clinically applied risk predictors as well as novel tools for identification of the metastatic characteristics of NSCLC patients with bone metastasis in the clinic.
This study analyzes the various prognostic factors of NSCLC patients with bone metastasis characteristic using the Surveillance, Epidemiology and End Results (SEER) database. The aim of this study was to characterize the prevalence, associated factors, and to establish a prognostic nomogram to predict the OS of NSCLC patients with bone metastasis.
We present the following article in accordance with the TRIPOD reporting checklist (available at https://dx.doi.org/10.21037/tcr-21-1507).
Methods
Patients
Thirteen US registration centers in the SEER database were included for the data collection. SEER database is programed managed by American National Cancer Institute, and about 10% Americans’ data was collected, processed, and provided, in accordance with the user protocol under SEER*Stat software (version 8.3.2; https://seer.cancer.gov/seerstat; accessed September 20, 2020). We are allowed to utilize the SEER*Stat client-server system and download the files which make up the SEER Research Data. The SEER program is publicly accessible and NSCLC cases from 2010 to 2015 in the SEER database have been included. The study was conducted in accordance with the Declaration of Helsinki (as revised in 2013). Since data of patients in SEER database could be accessed publicly online, the authorization from Institutional Review Board was not necessary for this study. The selection criteria used was as following: the diagnosis was confirmed by pathological analysis (primary site code: C34.1, upper lobe, lung; C34.2, middle lobe, lung; C34.3, lower lobe, lung; C34.8, overlapping lesion of lung); patients with histological NSCLC (histological type code: 8046/3, non-small cell carcinoma). The first primary tumor was pathologically diagnosed as NSCLC. The tumor, node, metastasis (TNM) staging was conducted based on the 7th edition of American Joint Committee on Cancer (AJCC). A total of 48,914 NSCLC cases were enrolled in this research. Patients who died from other causes or did not have NSCLC as the first tumor were excluded. Patients were excluded for missing or unknown cause of death. The relevant information about important details of patients, such as race, grade, AJCC TNM stage, metastasis sites, chemotherapy was lacking and hence was excluded. As indicated in Figure 1, finally, 484 NSCLC patients with bone metastasis were included in this research (Figure 1). All patients with NSCLC diagnosed with bone metastasis were delimited into the training (n=340) and validation (n=144) groups at random.
Data elements
We extracted several important factors potentially related to prognosis, including age, gender, race, primary site, grade, T stage, N stage, chemotherapy, brain metastasis, bone metastasis, liver metastasis, and lung metastasis. The primary terminal point of this research was OS, defined as the time span between the diagnosis date and death date caused by any reason.
Statistical analysis
For this study, NSCLC patients with bone metastasis group was divided into the training (n=340) and validation (n=144) groups randomly with a ratio of 7:3 by R (version 3.2.3) software. Kaplan-Meier method was applied to estimate the cancer-specific survival (CSS). The differences in the significance between the survival curves was assessed by the log rank tests. Multivariable Cox proportional hazards regression model was adopted to examine the hazard ratios (HR) of the various included factors. Based on the multivariate Cox analysis, a novel nomogram to predict OS of NSCLC patients with bone metastasis was developed by incorporating the various independent prognostic factors. The discrimination of the clinical prediction model was estimated by the receiver-operating characteristic (ROC). At the same time, the 1-, 3-, and 5-year correction curve and decision curve analysis (DCA) was applied to assess the nomogram. The SPSS 26.0 and R (version 3.2.3) software were used for the statistical analysis.
Results
Clinicopathological characteristics of the patients
The detailed clinicopathological features have been listed in Table 1. A total of 484 patients were enrolled in this study. Among these, 287 (59.3%) were male patients; 399 (82.4%) NSCLC patients were white, 297 (61.4%) NSCLC patients had malignancy in upper lobe, 446 (92.1%) cases were grade III, 155 (32.0%) cases were T4 stage, 72.3% NSCLC patients were N2–N3 stage, 303 patients (62.6%) were administered chemotherapy, 68 (14.0%) patients displayed brain metastasis, 80 (16.5%) patients exhibited liver metastasis, 112 (23.1%) patients showed lung metastasis.
Table 1
| Variables | Total (n=484) | Training cohort (n=340) | Validation cohort (n=144) | P value |
|---|---|---|---|---|
| Age | 67.03±11.03 | 66.97±11.05 | 67.17±11.00 | 0.771 |
| Sex (%) | 0.492 | |||
| Male | 287 (59.3) | 201 (59.1) | 86 (59.7) | |
| Female | 197 (40.7) | 139 (40.9) | 58 (40.3) | |
| Race (%) | 0.368 | |||
| Black | 48 (9.9) | 37 (10.9) | 11 (7.6) | |
| Other | 37 (7.6) | 27 (7.9) | 10 (6.9) | |
| White | 399 (82.4) | 276 (81.2) | 123 (85.5) | |
| Primary site (%) | 0.445 | |||
| Upper lobe | 297 (61.4) | 205 (60.3) | 92 (63.9) | |
| Middle lobe | 32 (6.6) | 23 (6.8) | 9 (6.3) | |
| Lower lobe | 150 (31.0) | 108 (31.8) | 42 (29.1) | |
| Overlapping lesion | 5 (1.0) | 4 (1.1) | 1 (0.7) | |
| Grade (%) | 0.587 | |||
| I | 3 (0.62) | 2 (0.6) | 1 (0.7) | |
| II | 15 (3.1) | 9 (2.6) | 6 (4.2) | |
| III | 446 (92.14) | 315 (92.7) | 131 (91.0) | |
| IV | 20 (4.13) | 14 (4.1) | 6 (4.1) | |
| T stage (%) | 0.072 | |||
| T1 | 42 (8.68) | 28 (8.2) | 14 (9.7) | |
| T2 | 156 (32.23) | 110 (32.4) | 46 (32.0) | |
| T3 | 131 (27.07) | 78 (22.9) | 53 (36.8) | |
| T4 | 155 (32.02) | 124 (36.5) | 31 (21.5) | |
| N stage (%) | 0.136 | |||
| N0 | 104 (21.49) | 68 (20.0) | 36 (25) | |
| N1 | 40 (8.26) | 30 (8.8) | 10 (6.9) | |
| N2 | 252 (50.0) | 166 (48.8) | 76 (52.8) | |
| N3 | 98 (20.25) | 76 (22.4) | 22 (15.3) | |
| Chemotherapy (%) | 0.226 | |||
| No | 181 (37.4) | 123 (36.2) | 58 (40.3) | |
| Yes | 303 (62.6) | 217 (63.8) | 86 (50.7) | |
| Brain metastasis (%) | 0.219 | |||
| No | 416 (86.0) | 289 (85.0) | 127 (88.2) | |
| Yes | 68 (14.0) | 51 (15.0) | 17 (11.8) | |
| Liver metastasis (%) | 0.421 | |||
| No | 404 (83.5) | 285 (83.8) | 119 (82.6) | |
| Yes | 80 (16.5) | 55 (16.2) | 25 (17.4) | |
| Lung metastasis (%) | 0.162 | |||
| No | 372 (76.9) | 266 (78.2) | 106 (73.6) | |
| Yes | 112 (23.1) | 74 (21.8) | 38 (26.4) |
According to the 7th edition of the AJCC. The data are presented in n (%). The P values that compared the training cohort and validation cohort were obtained from the χ2-test. Normally distributed measurement data were presented as mean ± SD. AJCC, American Joint Committee on Cancer; SD, standard deviation.
Prognostic factors of OS
There was no significant differences in age, gender, race, primary site, grade, T stage, N stage, chemotherapy, brain metastasis, bone metastasis, liver metastasis, and lung metastasis between the training and validation groups (P>0.05) (Table 1). The univariate Cox analysis indicated that sex, age, the race, T stage and N stage, chemotherapy, absence of liver and lung metastasis served as the prognostic factors for NSCLC patients with bone metastasis in the training group. Multivariate Cox analysis would be conducted later with these included prognostic factors. Based on the multivariate analysis, the significant risk factor of 484 NSCLC patients with bone metastasis were chemotherapy [HR =0.34; 95% confidence interval (CI): 0.27–0.44; P=0.001], absence of liver metastasis (HR =1.71; 95% CI: 1.26–2.33; P=0.001), N2 stage (HR =1.69; 95% CI: 1.24–2.31; P=0.001), N3 stage (HR =1.71; 95% CI: 1.19–2.24; P=0.003), T2 stage (HR =1.23; 95% CI: 0.79–1.91; P=0.035), T3 stage (HR =1.38; 95% CI: 0.88–2.16; P=0.016), sex (HR =0.76; 95% CI: 0.60–0.96; P=0.021) and race (HR =0.66; 95% CI: 0.46–0.97; P=0.026) (Table 2).
Table 2
| Variables | Univariate analysis | Multivariate analysis | |||
|---|---|---|---|---|---|
| HR (95% CI) | P | HR (95% CI) | P | ||
| Sex | |||||
| Male | Reference | Reference | |||
| Female | 0.811 (0.65–1.01) | 0.067 | 0.76 (0.60–0.96) | 0.021 | |
| Age | |||||
| <55 | Reference | ||||
| >55 | 1.35 (0.97–1.88) | 0.071 | 1.2 (0.90–1.80) | 0.174 | |
| Race | |||||
| White | Reference | Reference | |||
| Other | 0.68 (0.44–1.06) | 0.088 | 0.66 (0.46–0.97) | 0.026 | |
| Black | 0.83 (0.59–1.18) | 0.298 | 0.83 (0.58–1.19) | 0.303 | |
| Primary site | |||||
| Upper lobe | Reference | ||||
| Middle lobe | 1.31 (0.84–2.04) | 0.230 | |||
| Lower lobe | 1.04 (0.82–1.32) | 0.765 | |||
| Overlapping lesion | 1.61 (0.52–5.01) | 0.409 | |||
| Grade | |||||
| I | Reference | ||||
| II | 0.42 (0.09–1.99) | 0.274 | |||
| III | 0.66 (0.16–2.65) | 0.555 | |||
| IV | 0.48 (0.11–2.16) | 0.341 | |||
| T stage | |||||
| T1 | Reference | Reference | |||
| T2 | 1.48 (0.96–2.27) | 0.076 | 1.23 (0.79–1.91) | 0.035 | |
| T3 | 1.56 (1.00–2.44) | 0.051 | 1.38 (0.88–2.16) | 0.016 | |
| T4 | 1.49 (0.97–2.28) | 0.068 | 1.12 (0.72–1.74) | 0.615 | |
| N stage | |||||
| N0 | Reference | Reference | |||
| N1 | 1.43 (0.92–2.21) | 0.111 | 1.36 (0.87–2.11) | 0.176 | |
| N2 | 1.33 (0.99–1.78) | 0.061 | 1.69 (1.24–2.31) | 0.001 | |
| N3 | 1.30 (0.93–1.83) | 0.124 | 1.71 (1.19–2.24) | 0.003 | |
| Chemotherapy | |||||
| No | Reference | Reference | |||
| Yes | 0.41 (0.32–0.51) | 0.001 | 0.34 (0.27–0.44) | 0.001 | |
| Brain metastasis | |||||
| No | Reference | ||||
| Yes | 0.87 (0.64–1.19) | 0.389 | |||
| Liver metastasis | |||||
| No | Reference | Reference | |||
| Yes | 1.58 (1.17–2.12) | 0.002 | 1.71 (1.26–2.33) | 0.001 | |
| Lung metastasis | |||||
| No | Reference | Reference | |||
| Yes | 1.34 (1.03–1.75) | 0.031 | 1.26 (0.95–1.68) | 0.114 | |
According to the 7th edition of the AJCC. NSCLC, non-small cell lung cancer; HR, hazard ratios; CI, confidence interval; AJCC, American Joint Committee on Cancer.
Prognostic nomogram
To predict the OS of NSCLC patients with bone metastasis, a nomogram was built in accordance with the major prognostic factors selected in the validation group. The effective range of C-index was 0.5 to 1.0, and close to 1 indicated an accuracy of prediction. A score was obtained on the point-scale axis, thereafter each score was added to calculate the total score of individual patients, and the final score was found to be inversely proportional to the survival rate. As indicated in Figure 2, chemotherapy appeared to have the most significant impact on prognosis, followed by N stage, absence of liver metastasis, and race. T stage displayed only a moderate effect on prognosis, but sex showed little effect on prognosis. The C-index and calibration plot were further combined for validating the prognostic nomogram in the training cohort. The nomogram built achieved a C-index of 0.695 (95% CI: 0.662–0.728).
Evaluation of nomogram
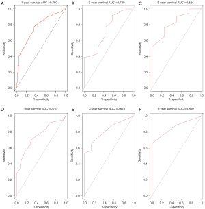
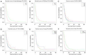
ROC curve indicated that the area under the clinical prediction model curves was 0.760, 0.730 and 0.824 in the training group at 1, 3 and 5 years, respectively; and 0.751, 0.815, and 0.860 in the validation group, respectively, thereby clearly showing a better discrimination (Figure 3A-3F). The 1-, 3-, and 5-year OS calibration curves showed a higher consistency between the observed and predicted probabilities (Figure 4). The nomogram’s clinical value was assessed by DCA. As indicated in Figure 4, nomogram had a good clinical practicability in accurately predicting OS of NSCLC patients with bone metastasis. Kaplan-Meier survival analysis was used to analyze the characteristics of the two groups. We used R software to classify NSCLC patients with bone metastasis with OS greater than median OS as the low-risk group. Patients in the high-risk group displayed a significantly higher risk factor scores of predictive factors in our analysis. It was observed that the high-risk patients showed a worse prognosis than the lower risk ones, thus indicating the powerful prediction capacity of this nomogram for NSCLC patients with bone metastasis prognosis. Chemotherapy, absence of liver metastasis, N stage, T stage, race, and sex were found to be serve as predictive factors for NSCLC survival (P<0.05) (Figure 5A-5F).
Discussion
In this study, with 484 enrolled patients, the OS of NSCLC patients with bone metastasis was predicted based on the construction of a clinical predictive model. Moreover, Cox regression analysis was performed on six independent prognosis factors and a clinical prediction model was built on this basis. As shown in our study, there were six different risk factors that were able to predict low OS of NSCLC patients with bone metastasis, including male, higher N stage and T stage, liver metastases, no-chemotherapy and race. These risk factors might be able to guide the oncologists to pay more attention to these clinical factors. For such patients, a more frequent skeletal inspection may help in early diagnosis of NSCLC patients with bone metastasis, which can lead to the appropriate use of bone-targeting agents and thus improve their survival (16).
We found that chemotherapy contributed the maximal to prognosis, followed by N stage, absence of liver metastasis and race that exhibited only moderate effects on prognosis. The optimum therapy of carcinoma skeletal metastasis includes various multidisciplinary methods, such as medical, radio, and surgical oncology. As per the established fundamental principles of skeletal metastases, avoiding novel metastatic results and the development of existing metastatic results remains a valid treatment scheme (17,18). For non-squamous NSCLC, a possible strategy could be the application of additional concurrent chemoradiation regimens like cisplatin/pemetrexed and carboplatin/pemetrexed (19,20). Maintenance therapy can serve as a useful option for patients with metastatic non-squamous NSCLC, with responsive or stable disease after first-line systemic chemotherapy or immunotherapy. A continuation maintenance therapy used extensively is gemcitabine (category 2B) for patients with squamous cell NSCLC (21). Although immune checkpoint inhibitors have already displayed significant activity on the visceral disease, their potential efficacy in patients with bone metastases has not been analyzed so far. It must be emphasized that systemic therapy is still essential for metastatic NSCLC treatment. The main goal of systemic therapy for metastatic NSCLC patients is to reduce the burden of cancer symptoms, improve the survival rate, and the overall quality of life. However, compared with single dose chemotherapy, Latin chemotherapy regimens (such as carboplatin and paclitaxel, carboplatin and pemetrexed) have been reported to significantly improve the survival rates (22). Moreover, patients with bone metastasis exhibited a poor prognosis, even when the systemic therapy was used (23). However, we failed to consider the details of chemotherapeutic agents used as the information in this regard was not provided by the SEER data center.
As one of the most commonly seen location for malignant tumor metastasis, bone carries a distinctive microenvironmental status, which can facilitate oncocytes to develop and thrive (17). Our data suggested that the progression was associated with specific site of metastases, thereby influencing the site-specific progression. With the rapid advancement in immunotherapy and detection of the various immune biomarkers, it has been found that the liver site may also function as a relevant negative predictor in the tumor response (24,25). The disseminated cells can potentially interact with the host organ microenvironment in a complex manner that could effectively result in the different metastatic patterns that could be explained by ‘seed and soil’ hypothesis (26). Finkelstein et al. (5) identified that bone and liver metastases could function as an independent prognostic factor in 893 NSCLC patients. A shorter survival was also found in NSCLC patients with brain metastasis (27). In our study, the results of the univariate Cox analysis showed that absence of liver and lung metastasis could lead to higher OS of NSCLC patients with bone metastasis. Lung metastasis appears to be an important prognostic factor. NSCLC diagnosed with malignant pleural disease is divided into IV (M1a) in the staging system of the Union for International Cancer Control. Malignant pleural effusion or pleural dissemination are common complications found during advanced LC, which may seriously affect the PS in patients (28). The formation of pleural metastasis may depend not only on the direct diffusion of cancer cells, but also on blood or lymphatic pathways (29). Patients with pleural dissemination generally exhibit to be a poor prognosis (30). However, most of biopsy group patients lack pathological lymph node status to conclusively prove lymph node status as a potential prognostic factor according to the existing evidences (31).
Based on the data obtained, brain metastases could not be considered as one of the unfavorable prognostic factors, although some previous studies have indicated that it could be one. It has also been reported that the various neurological symptoms caused by metastasis could be potentially irreversible (32,33). Thus, poor survival may promote bone metastasis because of skeletal-related issues, like pathological fractures, spinal cord compression and hypercalcemia of malignancy (34). A number of controversial and unclear findings about the predictive and prognostic role of bone metastases could be due to the presence of niches and pathological bone loss that could serve as potential obstacles in immune activation, as compared with the long-lived memory T and B-lymphocytes as well as the production of cytotoxic T cells (35). NSCLC patients could suffer biliary tract obstruction when it undergoes metastasis to the lymph nodes in the porta hepatis or the hepatic parenchyma. Moreover, additional favorable prognostic factors of OS with metastatic NSCLC include diagnosis at early-stage, well PS, no significant weight loss (<5%), and female gender (5).
A number of studies have evaluated the different factors, which could potentially affect the OS of the NSCLC patients with bone metastasis previously. The prediction models are profound for causing an enhancement in the prognosis when compared with the various independent risk factors. Moreover, the indicators should be important and could be easily obtained in the clinics. Therefore, the model has the potential advantages of better prediction capability and reliability, and at the same time offers more useful information for potential improvements in consultation, risk evaluation, as well as decision-making. The nomogram model mentioned was developed and validated to measure the prognosis individually. It is possible that by using it, prediction about the survival rates of patients could be more accurate. The study was designed to quantitatively analyze the various OS-related factors for promoting the progress of individualized treatment.
On the multivariate analysis, the significant risk factor of 484 NSCLC patients with bone metastasis were chemotherapy, absence of liver metastasis, N stage, T stage and sex. The application of chemotherapy, absence of liver metastasis, N2 stage were found have significant predictive value in predicting OS of NSCLC patients with bone metastasis. The female, the patients with prior chemotherapy and no liver metastasis may potentially exhibit improved survival.
Conclusions
A nomogram was established and validated to predict individual prognosis for the general distantly NSCLC patients with bone metastasis. The findings also suggested that one should pay closer attention and shorten the follow-up period in order to adjust the treatment methods in a timely manner based on the changes in their tumor condition.
This study also has some limitations since it was a retrospective study, which investigated patients with complete data and inevitable deviations only. The SEER data center merely provided us with NSCLC cases with bone metastasis based only on initial diagnosis, which might lead to an undervaluation of patients that can develop bone metastasis afterwards. There were several histological code numbers found in NSCLC, and hence further detailed investigations analyses are needed. Additionally, information offered by the SEER database was also limited. The work here did not consider some vital prognostic factors studied in the previous studies. We have selected non-bone metastasis group as a comparative group. Hence, further detailed investigations are needed in the future.
Acknowledgments
We are grateful to all the patients and individuals in the study who made this work possible.
Funding: This work was supported by the special support for COVID-19 epidemic prevention and control supported by China Postdoctoral Science Foundation (2020M670019ZX).
Footnote
Reporting Checklist: The authors have completed the TRIPOD reporting checklist. Available at https://dx.doi.org/10.21037/tcr-21-1507
Peer Review File: Available at https://dx.doi.org/10.21037/tcr-21-1507
Conflicts of Interest: All authors have completed the ICMJE uniform disclosure form (available at https://dx.doi.org/10.21037/tcr-21-1507). JX was funded by the Natural Science Foundation of Heilongjiang Province (No. H2018019). The other authors have no conflicts of interest to declare.
Ethical Statement: The authors are accountable for all aspects of the work in ensuring that questions related to the accuracy or integrity of any part of the work are appropriately investigated and resolved. The study was conducted in accordance with the Declaration of Helsinki (as revised in 2013). Since data of patients in SEER database could be accessed publicly online, the authorization from Institutional Review Board was not necessary for this study.
Open Access Statement: This is an Open Access article distributed in accordance with the Creative Commons Attribution-NonCommercial-NoDerivs 4.0 International License (CC BY-NC-ND 4.0), which permits the non-commercial replication and distribution of the article with the strict proviso that no changes or edits are made and the original work is properly cited (including links to both the formal publication through the relevant DOI and the license). See: https://creativecommons.org/licenses/by-nc-nd/4.0/.
References
- Ferlay J, Soerjomataram I, Dikshit R, et al. Cancer incidence and mortality worldwide: sources, methods and major patterns in GLOBOCAN 2012. Int J Cancer 2015;136:E359-86. [Crossref] [PubMed]
- Siegel RL, Miller KD, Jemal A. Cancer statistics, 2016. CA Cancer J Clin 2016;66:7-30. [Crossref] [PubMed]
- Howlader N, Noone AM, Krapcho M, et al. SEER Cancer Statistics Review, 1975-2011. National Cancer Institute 2014. Available online: https://seer.cancer.gov/archive/csr/1975_2011/
- Spiro SG, Rudd RM, Souhami RL, et al. Chemotherapy versus supportive care in advanced non-small cell lung cancer: improved survival without detriment to quality of life. Thorax 2004;59:828-36. [Crossref] [PubMed]
- Finkelstein DM, Ettinger DS, Ruckdeschel JC. Long-term survivors in metastatic non-small-cell lung cancer: an Eastern Cooperative Oncology Group Study. J Clin Oncol 1986;4:702-9. [Crossref] [PubMed]
- Deng J, Ren Z, Wen J, et al. Construction of a nomogram predicting the overall survival of patients with distantly metastatic non-small-cell lung cancer. Cancer Manag Res 2018;10:6143-56. [Crossref] [PubMed]
- Dai C, Ren Y, Xie D, et al. Does Lymph Node Metastasis Have a Negative Prognostic Impact in Patients with NSCLC and M1a Disease? J Thorac Oncol 2016;11:1745-54. [Crossref] [PubMed]
- Collaud S, Stahel R, Inci I, et al. Survival of patients treated surgically for synchronous single-organ metastatic NSCLC and advanced pathologic TN stage. Lung Cancer 2012;78:234-8. [Crossref] [PubMed]
- Hirsch FR, Scagliotti GV, Mulshine JL, et al. Lung cancer: current therapies and new targeted treatments. Lancet 2017;389:299-311. [Crossref] [PubMed]
- Song Q, Shang J, Zhang C, et al. Impact of the homogeneous and heterogeneous risk factors on the incidence and survival outcome of bone metastasis in NSCLC patients. J Cancer Res Clin Oncol 2019;145:737-46. [Crossref] [PubMed]
- Grossi F, Kubota K, Cappuzzo F, et al. Future scenarios for the treatment of advanced non-small cell lung cancer: focus on taxane-containing regimens. Oncologist 2010;15:1102-12. [Crossref] [PubMed]
- Mundy GR. Metastasis to bone: causes, consequences and therapeutic opportunities. Nat Rev Cancer 2002;2:584-93. [Crossref] [PubMed]
- Snyder AH, Magnuson A, Westcott AM. Cancer Screening in Older Adults. Med Clin North Am 2016;100:1101-10. [Crossref] [PubMed]
- David EA, Clark JM, Cooke DT, et al. The Role of Thoracic Surgery in the Therapeutic Management of Metastatic Non-Small Cell Lung Cancer. J Thorac Oncol 2017;12:1636-45. [Crossref] [PubMed]
- Ellis PM, Vandermeer R. Delays in the diagnosis of lung cancer. J Thorac Dis 2011;3:183-8. [PubMed]
- Coleman RE. Clinical features of metastatic bone disease and risk of skeletal morbidity. Clin Cancer Res 2006;12:6243s-9s. [Crossref] [PubMed]
- D’Oronzo S, Coleman R, Brown J, et al. Metastatic bone disease: Pathogenesis and therapeutic options: Up-date on bone metastasis management. J Bone Oncol 2019;15:004-4.
- Wang M, Xia F, Wei Y, et al. Molecular mechanisms and clinical management of cancer bone metastasis. Bone Res 2020;8:30. [Crossref] [PubMed]
- Choy H, Gerber DE, Bradley JD, et al. Concurrent pemetrexed and radiation therapy in the treatment of patients with inoperable stage III non-small cell lung cancer: a systematic review of completed and ongoing studies. Lung Cancer 2015;87:232-40. [Crossref] [PubMed]
- Govindan R, Bogart J, Stinchcombe T, et al. Randomized phase II study of pemetrexed, carboplatin, and thoracic radiation with or without cetuximab in patients with locally advanced unresectable non-small-cell lung cancer: Cancer and Leukemia Group B trial 30407. J Clin Oncol 2011;29:3120-5. [Crossref] [PubMed]
- Perol M, Chouaid C, Milleron BJ, et al. Maintenance with either gemcitabine or erlotinib versus observation with predefined second-line treatment after cisplatin-gemcitabine induction chemotherapy in advanced NSCLC: IFCT-GFPC 0502 phase III study. J Clin Oncol 2010;28. abstract 7507. [Crossref]
- Zukin M, Barrios CH, Pereira JR, et al. Randomized phase III trial of single-agent pemetrexed versus carboplatin and pemetrexed in patients with advanced non-small-cell lung cancer and Eastern Cooperative Oncology Group performance status of 2. J Clin Oncol 2013;31:2849-53. [Crossref] [PubMed]
- Bauml J, Mick R, Zhang Y, et al. Determinants of survival in advanced non—small-cell lung cancer in the era of targeted therapies. Clin Lung Cancer 2013;14:581-91. [Crossref] [PubMed]
- Bilen MA, Shabto JM, Martini DJ, et al. Sites of metastasis and association with clinical outcome in advanced stage cancer patients treated with immunotherapy. BMC Cancer 2019;19:857. [Crossref] [PubMed]
- Botticelli A, Salati M, Di Pietro FR, et al. A nomogram to predict survival in non-small cell lung cancer patients treated with nivolumab. J Transl Med 2019;17:99. [Crossref] [PubMed]
- Paget S. The distribution of secondary growths in cancer of the breast. 1889. Cancer Metastasis Rev 1989;8:98-101. [PubMed]
- Sørensen JB, Hansen HH, Hansen M, et al. Brain metastases in adenocarcinoma of the lung: frequency, risk groups, and prognosis. J Clin Oncol 1988;6:1474-80. [Crossref] [PubMed]
- Ohta Y, Tanaka Y, Hara T, et al. Clinicopathological and biological assessment of lung cancers with pleural dissemination. Ann Thorac Surg 2000;69:1025-9. [Crossref] [PubMed]
- Goldstraw P, Crowley J, Chansky K, et al. The IASLC Lung Cancer Staging Project: proposals for the revision of the TNM stage groupings in the forthcoming (seventh) edition of the TNM Classification of malignant tumours. J Thorac Oncol 2007;2:706-14. Erratum in: J Thorac Oncol 2007;2:985. [Crossref] [PubMed]
- Liu B, Liu L, Hu M, et al. Effect of percutaneous radiofrequency ablation after thoracoscopic pleurodesis for treating non-small cell lung cancer patients with malignant pleural effusion and/or pleural dissemination. Thorac Cancer 2016;7:549-55. [Crossref] [PubMed]
- Ren YJ, She YL, Dai CY, et al. Primary tumour resection showed survival benefits for non-small-cell lung cancers with unexpected malignant pleural dissemination. Interact Cardiovasc Thorac Surg 2016;22:321-6. [Crossref] [PubMed]
- Balar AV, Galsky MD, Rosenberg JE, et al. Atezolizumab as first-line treatment in cisplatin-ineligible patients with locally advanced and metastatic urothelial carcinoma: a single-arm, multicentre, phase 2 trial. Lancet 2017;389:67-76. Erratum in: Lancet 2017;390:848. [Crossref] [PubMed]
- Huang Y, Zhang SD, McCrudden C, et al. The prognostic significance of PD-L1 in bladder cancer. Oncol Rep 2015;33:3075-84. [Crossref] [PubMed]
- Reck M, Rodríguez-Abreu D, Robinson AG, et al. Pembrolizumab versus Chemotherapy for PD-L1-Positive Non-Small-Cell Lung Cancer. N Engl J Med 2016;375:1823-33. [Crossref] [PubMed]
- Walsh MC, Kim N, Kadono Y, et al. Osteoimmunology: interplay between the immune system and bone metabolism. Annu Rev Immunol 2006;24:33-63. [Crossref] [PubMed]

