Prediction of overall survival in patients with hepatocellular carcinoma and second primary malignancies: a prognostic model based on the SEER database
Highlight box
Key findings
• A prognostic nomogram was developed to predict overall survival (OS) in patients with hepatocellular carcinoma (HCC) who developed a second primary malignancy (SPM), based on the Surveillance, Epidemiology, and End Results (SEER) database. The model showed acceptable discrimination and calibration in internal validation.
What is known and what is new?
• Survival of HCC patients have improved, and the incidence of SPM is increasing, but individualized OS prediction remains limited.
• This study proposes a SEER-based nomogram incorporating clinical and treatment-related variables to estimate long-term OS in HCC patients with SPM.
What is the implication, and what should change now?
• The nomogram may assist clinicians in risk stratification and individualized follow-up planning for HCC survivors with SPM.
• This nomogram enables risk stratification of HCC survivors with SPMs, thereby facilitating individualized follow-up and management strategies beyond conventional stage-based approaches.
Introduction
Hepatocellular carcinoma (HCC) is a common primary liver malignancy (1). Its global incidence continues to rise, ranking it as the sixth most frequently diagnosed cancer and the third leading cause of cancer-related deaths worldwide. This trend poses a significant public health threat. According to GLOBOCAN 2022, approximately 865,000 new liver cancer cases and 758,000 deaths were reported globally in 2022. HCC accounted for about 90% of these cases, representing the primary contributor to the disease burden (2-5). Advances in therapeutic strategies have prolonged survival in HCC patients (6-8). However, long-term survivors encounter new clinical challenges, particularly an elevated risk of developing second primary malignancies (SPMs). SPMs are defined as independent malignancies that develop at least 6 months after the diagnosis of the primary tumor and are anatomically and histologically distinct from the original cancer (9,10). A large cohort study using the Korean National Health Insurance Service database reported that among HCC patients surviving more than 5 years, the cumulative incidence of SPMs was 15.36% at 5 years and 27.54% at 10 years (11). Other studies have shown that SPMs are relatively common among long-term HCC survivors and can be a leading cause of death, especially in patients who received curative treatments such as hepatic resection, radiofrequency ablation, or liver transplantation (LT). However, it remains controversial whether the occurrence of SPMs directly indicates a poorer prognosis (12). Some evidence suggests that SPM development may be linked to a milder primary disease course and more proactive clinical management. Additionally, a hospital-based cancer registry study in Spain demonstrated that multiple primary malignancies are not uncommon in HCC patients, highlighting the need for long-term surveillance in clinical practice (13,14).
Although previous studies have examined the incidence, types, and risk factors of SPMs, systematic analyses of survival outcomes and prognostic factors in HCC patients with SPMs remain limited. Conventional prognostic systems for HCC, including the Barcelona Clinic Liver Cancer (BCLC) staging, the Cancer of the Liver Italian Program (CLIP) score, and the Japan Integrated Staging (JIS) system, are mainly designed for patients at initial diagnosis. These frameworks are based on tumor burden, liver function, and baseline tumor biology (15). However, there is limited evidence on the predictive accuracy of these systems in long-term survivors who later develop SPMs. The emergence of SPMs may increase disease complexity, modify treatment pathways, and alter tumor burden, potentially reducing the ability of traditional staging systems to capture key factors influencing overall survival (OS). Previous Surveillance, Epidemiology, and End Results (SEER)-based studies have analyzed long-term HCC survivors with multiple primary malignancies, but most focused on specific subgroups or particular clinical questions. For instance, Ding et al. developed an OS nomogram for HCC patients who developed SPMs after LT (16). While informative, this study did not include a broader HCC survivor population and did not reflect real-world survival outcomes in non-transplant patients. To date, studies specifically examining survival determinants in HCC patients with SPMs remain scarce, and no OS prediction model exists for this subgroup. Therefore, there is a clear and urgent need to develop individualized survival prediction models for HCC patients with secondary SPMs. Nomograms, integrating statistical modeling with multidimensional clinical variables in a visual format, have been widely applied for individualized prognostic prediction across various cancers (17,18). The SEER database of the U.S. National Cancer Institute covers approximately 34.6% of the U.S. population and provides large-scale, real-world data suitable for developing such models (16). Based on the SEER database, this study aims to identify key prognostic factors affecting survival in HCC patients with SPMs and to develop a nomogram for predicting OS in this population. This model is intended to support personalized clinical management and follow-up strategies to improve long-term outcomes. We present this article in accordance with the TRIPOD reporting checklist (available at https://tcr.amegroups.com/article/view/10.21037/tcr-2025-1456/rc).
Methods
Data were obtained from the SEER database, which includes patient demographics and clinical information from 18 cancer registries and was updated through April 2024. This study included adult patients diagnosed with HCC from 2004 to 2015 who later developed an SPM. Inclusion criteria were: (I) International Classification of Diseases for Oncology, Third Edition (ICD-O-3) site code C22.0 and histology codes 8170–8175; (II) occurrence of a second primary cancer; (III) diagnosis from 2004 to 2015 and age ≥20 years; and (IV) first primary tumor diagnosed as HCC. Exclusion criteria included: (I) SPM latency period <6 months; (II) cases reported solely from autopsy or death certificate; (III) missing follow-up information; (IV) second primary cancer diagnosed as HCC; (V) patients with multiple primary tumors; and (VI) unknown age, marital status, or race. From eligible cases, demographic data (age, sex, year of diagnosis, race, marital status, and SPM latency), clinicopathological features [tumor grade, American Joint Committee on Cancer (AJCC) 6th edition tumor-node-metastasis (TNM) stage, and tumor size], and treatment information [radiotherapy (RT), chemotherapy, and surgery] were extracted. All variables were coded following SEER standards. SPM latency was defined as the interval, in months, from initial HCC diagnosis to the occurrence of the SPM. Given the high proportion of “unknown” values for tumor grade and TNM stage in SEER, missing values were treated as a separate category using dummy coding in model construction. This approach preserved all cases for analysis and avoided potential selection bias arising from the exclusion of missing data. It also enabled the model to use complete data during training and validation while incorporating potential prognostic information carried by missing values. The study workflow is presented in Figure 1.
The data were obtained from the SEER 2024 submission database, with follow-up censored on December 31, 2021. As the SEER data are fully anonymized, ethical approval was not required for this study. The study was conducted in accordance with the Declaration of Helsinki and its subsequent amendments.
Formula calculation
To ensure the transparency and reproducibility of the model, the risk function of the final multivariate Cox regression model is expressed as follows:
Sample size calculation
For practical application, we used and organized the pmsampsize package in R, developed by Riley et al. (19) to perform the calculation. The code is provided in Appendix 1. Based on this calculation, the minimum required sample size for this study was 340 patients.
Statistical analysis
Patients with HCC were categorized into two groups based on the presence of an SPM: only one primary malignancy group (n=50,848) and an SPM group (n=1,608). Categorical variables were summarized as frequencies and percentages. Group comparisons were conducted using the chi-squared test or Fisher’s exact test, as appropriate. Continuous variables were expressed as mean ± standard deviation (SD) or median with interquartile range (IQR). Statistical comparisons were made using the independent-samples t-test or the Mann-Whitney U test, depending on distribution. For prognostic modeling, 1,608 patients with SPMs were randomly allocated to a training set (n=1,126) and a validation set (n=482) in a 7:3 ratio. Kaplan-Meier survival curves were generated, and differences were evaluated using the log-rank test. In the training cohort, variables found to be significant in univariate Cox regression were included in multivariate analysis to identify independent prognostic factors. A nomogram was developed using independent prognostic factors from the training cohort to estimate 8-, 9-, and 10-year OS. Model performance was assessed using the concordance index (C-index), and its predictive accuracy was evaluated using receiver operating characteristic (ROC) curves and the area under the curve (AUC). Calibration curves were generated based on 1,000 bootstrap resamples to evaluate the agreement between predicted and observed survival. Clinical usefulness was evaluated by decision curve analysis (DCA), which quantified the net benefit across a range of threshold probabilities. External validation was conducted using the validation cohort to assess the generalizability of the OS nomogram. Data were extracted using SEER*Stat software (version 8.4.5). Data preprocessing and statistical analyses were conducted using SPSS version 26.0 and R software version 4.4.1. A two-sided P value of <0.05 was considered statistically significant.
Results
Baseline characteristics
A total of 1,608 eligible patients with SPMs were included in the prognostic analysis. The overall SPM cohort was randomly assigned to a training set (n=1,126) and a validation set (n=482) in a 7:3 ratio. Demographic and clinicopathological characteristics of the SPM patients are summarized in Table 1.
Table 1
| Variables | Total (n=1,608) | Training set (n=1,126) | Validation set (n=482) | P |
|---|---|---|---|---|
| Age, years | 0.71 | |||
| <65 | 1,007 (62.62) | 709 (62.97) | 298 (61.83) | |
| ≥65 | 601 (37.38) | 417 (37.03) | 184 (38.17) | |
| Sex | >0.99 | |||
| Female | 392 (24.38) | 275 (24.42) | 117 (24.27) | |
| Male | 1,216 (75.62) | 851 (75.58) | 365 (75.73) | |
| Year of diagnosis | 0.19 | |||
| 2004–2008 | 564 (35.07) | 383 (34.01) | 181 (37.55) | |
| 2009–2015 | 1,044 (64.93) | 743 (65.99) | 301 (62.45) | |
| Race | 0.82 | |||
| APlorAl | 306 (19.03) | 216 (19.18) | 90 (18.67) | |
| Black | 153 (9.51) | 110 (9.77) | 43 (8.92) | |
| White | 1,149 (71.46) | 800 (71.05) | 349 (72.41) | |
| Marital status | 0.20 | |||
| Unmarried | 1,028 (63.93) | 708 (62.88) | 320 (66.39) | |
| Married | 580 (36.07) | 418 (37.12) | 162 (33.61) | |
| Grade | 0.30 | |||
| I–II | 617 (38.37) | 422 (37.48) | 195 (40.46) | |
| III–IV | 111 (6.9) | 74 (6.57) | 37 (7.68) | |
| Unknown | 880 (54.73) | 630 (55.95) | 250 (51.87) | |
| CS tumor size | 0.39 | |||
| Microscopic | 368 (22.89) | 286 (23.52) | 82 (20.92) | |
| Small | 823 (51.18) | 628 (51.64) | 195 (49.74) | |
| Large | 226 (14.05) | 167 (13.73) | 59 (15.05) | |
| Very large | 68 (4.23) | 49 (4.03) | 19 (4.85) | |
| Unknown | 123 (7.65) | 86 (7.07) | 37 (9.44) | |
| T stage | 0.66 | |||
| T1 | 903 (56.16) | 638 (56.66) | 265 (54.98) | |
| T2 | 467 (29.04) | 321 (28.51) | 146 (30.29) | |
| T3 | 108 (6.72) | 71 (6.31) | 37 (7.68) | |
| T4 | 24 (1.49) | 18 (1.6) | 6 (1.24) | |
| Unknown | 106 (6.59) | 78 (6.93) | 28 (5.81) | |
| N stage | 0.27 | |||
| N0 | 1,463 (90.98) | 1,021 (90.67) | 442 (91.7) | |
| N1 | 22 (1.37) | 13 (1.15) | 9 (1.87) | |
| Unknown | 123 (7.65) | 92 (8.17) | 31 (6.43) | |
| M stage | 0.41 | |||
| M0 | 1,501 (93.35) | 1,048 (93.07) | 453 (93.98) | |
| M1 | 28 (1.74) | 18 (1.6) | 10 (2.07) | |
| Unknown | 79 (4.91) | 60 (5.33) | 19 (3.94) | |
| Surgery | 0.03 | |||
| No | 643 (39.99) | 471 (41.83) | 172 (35.68) | |
| Yes | 965 (60.01) | 655 (58.17) | 310 (64.32) | |
| Radiotherapy | 0.17 | |||
| No/unknown | 1,513 (94.09) | 1,053 (93.52) | 460 (95.44) | |
| Yes | 95 (5.91) | 73 (6.48) | 22 (4.56) | |
| Chemotherapy | >0.99 | |||
| No/unknown | 860 (53.48) | 602 (53.46) | 258 (53.53) | |
| Yes | 748 (46.52) | 524 (46.54) | 224 (46.47) | |
| Latency, months | 0.98 | |||
| ≤60 | 578 (35.95) | 404 (35.88) | 174 (36.1) | |
| >60 | 1,030 (64.05) | 722 (64.12) | 308 (63.9) | |
| Survival months | 82.5 [41, 125] | 82 [41, 126] | 83 [41, 122.75] | 0.96 |
| Status | 0.58 | |||
| Alive | 538 (33.46) | 382 (33.93) | 156 (32.37) | |
| Dead | 1,070 (66.54) | 744 (66.07) | 326 (67.63) |
Data are presented as n (%) or median [Q1, Q3]. APlorAl, Asian, Pacific Islander, and other races; CS, clinical stage; M, metastasis; N, node; SPM, second primary malignancy; T, tumor.
Feature selection
To identify prognostic factors in patients with HCC who developed SPMs, variables that were significant in univariate Cox regression analysis were included in a multivariate Cox regression model to determine independent prognostic risk factors. The results of feature selection are summarized in Table 2.
Table 2
| Variable | Univariate Cox regression | Multivariate Cox regression | |||||||
|---|---|---|---|---|---|---|---|---|---|
| β | HR | 95% CI | P | β | HR | 95% CI | P value | ||
| Age | 0.4793 | 1.61 | 1.39–1.87 | <0.001 | 0.3184 | 1.37 | 1.18–1.6 | <0.001 | |
| Sex | 0.1439 | 1.15 | 0.97–1.37 | 0.101 | |||||
| Year of diagnosis | 0.4352 | 1.55 | 1.31–1.82 | <0.001 | 0.1406 | 1.15 | 0.97–1.36 | 0.10 | |
| Race | 0.0549 | 1.06 | 0.96–1.16 | 0.24 | |||||
| Marital status | −0.3686 | 0.69 | 0.6–0.8 | <0.001 | −0.4068 | 0.67 | 0.57–0.77 | <0.001 | |
| Grade | 0.1227 | 1.13 | 1.05–1.22 | 0.002 | |||||
| CS tumor size | 0.116 | 1.12 | 1.05–1.2 | <0.001 | |||||
| T stage | 0.0448 | 1.05 | 0.98–1.11 | 0.17 | |||||
| N stage | 0.1556 | 1.17 | 1.03–1.32 | 0.01 | |||||
| M stage | 0.1428 | 1.15 | 1–1.33 | 0.053 | |||||
| Surgery | −0.445 | 0.64 | 0.55–0.74 | <0.001 | −0.2761 | 0.76 | 0.65–0.89 | 0.001 | |
| Radiotherapy | 0.3518 | 1.42 | 1.07–1.9 | 0.02 | 0.3361 | 1.4 | 1.04–1.87 | 0.02 | |
| Chemotherapy | 0.1905 | 1.21 | 1.05–1.4 | 0.01 | 0.1488 | 1.16 | 1–1.35 | 0.057 | |
| Latency | −1.3108 | 0.27 | 0.23–0.32 | <0.001 | −1.2468 | 0.29 | 0.24–0.34 | <0.001 | |
CI, confidence interval; CS, clinical stage; HR, hazard ratio; M, metastasis; N, node; SPM, second primary malignancy; T, tumor.
Construction and validation of the nomogram prediction model
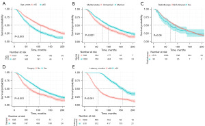
Kaplan-Meier analysis was performed to assess the effects of five predictive factors on OS in the entire SPM cohort, with survival curves plotted accordingly (Figure 2). Based on the identified independent prognostic risk factors, an OS nomogram was constructed (Figure 3). In the training set, the nomogram demonstrated a C-index of 0.731 [95% confidence interval (CI): 0.715–0.747]. The AUCs for predicting 8-, 9-, and 10-year OS were 0.81 (95% CI: 0.78–0.84), 0.79 (95% CI: 0.76–0.82), and 0.77 (95% CI: 0.74–0.80), respectively (Figure 4). Calibration curves showed a close agreement between the predicted and observed outcomes of the nomogram (Figure 5). DCA indicated that the nomogram could provide potential clinical benefit (Figure 6).
Discussion
Recent advances in diagnostic and therapeutic technologies have extended survival in cancer patients. In the United States, the number of cancer survivors is projected to reach approximately 26.1 million by 2040, representing 6.9% of the total population (20). However, various factors continue to threaten survivors’ health, including cancer recurrence (21) and treatment-related toxicities (22). Furthermore, the incidence of SPMs has increased and is emerging as a major health concern for cancer survivors (23). At 25 years of follow-up, the overall cumulative incidence of SPMs was 14% (24). Factors such as cancer type, anticancer therapy, comorbidities, and patient behaviors have been associated with an increased risk of long-term complications and premature mortality in patients with a previous history of cancer (25). Moreover, cancer survivors are often excluded from clinical trials, which limits understanding of their characteristics, risk factors, and survival outcomes (26). Therefore, investigating SPM characteristics, identifying associated risk factors, and screening high-risk patients are of significant clinical and public health relevance. In this study, prognostic factors affecting survival in patients with SPMs were explored, and an OS nomogram was developed. Clinicians may use this nomogram to assess OS in SPM patients and identify high-risk individuals. Among the included patients, 1608 developed SPMs following an initial HCC diagnosis, corresponding to an SPM incidence of 3.07%. This is consistent with previous reports by Nzeako et al., in which the SPM incidence ranged from 3.5% to 8% (27). The incidence of SPMs varies across countries, being approximately 2.4% in Spain (14), 1.63–8.0% in China (28), and 0.7–1.9% in Japan (29). This variation may be influenced by differences in demographic characteristics, tumor characteristics, and treatment strategies. Among male patients, the three most common types of SPMs were prostate cancer, lung cancer, and bladder cancer, suggesting that lifestyle factors may influence SPM development. The increased incidence of prostate and bladder cancers may be attributed to shared risk factors, such as smoking, which is also a major contributor to cancer-related mortality in these populations (30). These findings indicate a distinct pattern of SPM occurrence among male cancer survivors, and addressing these shared risk factors may help reduce SPM incidence. Herrero et al. (31) also demonstrated that smoking increased the incidence of lung, esophageal, and urinary tract cancers after LT. Among female patients, the most common SPMs were breast cancer, lung cancer, and kidney cancer, suggesting that hormonal factors may contribute to SPM development. Mellemkjær et al. (32) demonstrated that hormonal changes can stimulate the development of specific cancers. Meanwhile, previous studies indicate that the presence of SPMs does not necessarily affect OS. Wong et al. (33) reported no significant difference in OS between HCC patients with or without SPMs, suggesting that SPM occurrence does not inherently compromise survival outcomes. Similarly, Bian et al. (34) found that a prior history of cancer did not significantly affect the prognosis of subsequent HCC patients. Furthermore, Hříbek et al. (15) reported that patients with HCC and double primary malignancies exhibited a median survival even longer than some cases of solitary HCC. Collectively, these findings suggest that the occurrence of SPMs may not indicate a worse prognosis; rather, it may reflect a favorable survival trajectory. The relatively good survival outcomes observed in HCC patients with SPMs may be attributable to early diagnosis, good baseline clinical status, and higher accessibility and adherence to multimodal therapies, consistent with the findings of our study.
In this study, multivariate Cox regression analysis identified several variables that significantly influenced OS in HCC patients who developed SPMs. Age ≥65 years was found to be an adverse prognostic factor [hazard ratio (HR) =1.37, P<0.001], consistent with prior studies suggesting that previous cancer treatments may increase the risk of SPM development. For instance, immunosuppression following LT has been associated with a higher likelihood of subsequent malignancies. Several mechanisms may account for this association. First, immune function is implicated in cancer development, and immunosenescence in older individuals may increase susceptibility to malignancy (35). Age-related changes, including reduced hepatic blood flow, diminished cytochrome P450 enzyme activity, and impaired immune function, may further elevate cancer risk (36). Second, HCC is generally associated with poor prognosis, and long-term survivors with favorable baseline characteristics may live long enough to develop SPMs (37). Third, patients who have received HCC treatment may exhibit heightened susceptibility to secondary malignancies, particularly those who undergo LT, where immunosuppressive therapy can facilitate SPM emergence (38). Schnitzbauer et al. (39) demonstrated that mammalian target of rapamycin (mTOR) inhibitors have superior antitumor effects compared with calcineurin inhibitors. Current guidelines recommend minimizing calcineurin inhibitor doses in liver transplant recipients to reduce SPM risk, whereas mTOR inhibitors appear not to increase cancer risk and may help prevent post-transplant SPMs (40). Marital status was identified as another independent prognostic factor. Married patients exhibited significantly lower mortality than unmarried or divorced/widowed individuals (HR =0.67, P<0.001). Similar patterns have been reported in other cancer populations. Aizer et al. (41) showed that marriage improves survival by enhancing treatment adherence, increasing access to healthcare, and supporting emotional stability. Maas et al. (42) reported that married melanoma patients had approximately a 35% lower risk of death compared with unmarried patients, suggesting that social support may positively influence treatment response and quality of life. Surgical intervention emerged as an independent protective factor for OS, with patients undergoing surgery experiencing a significantly reduced mortality risk (HR =0.76, P=0.001). These results align with large-scale epidemiological studies. Xia et al. (43) analyzed nearly 11,000 primary liver cancer patients and found that surgical resection substantially improved 5-year OS, reaching 51.7% in the 2009–2019 cohort, reflecting advances in surgical techniques and perioperative management. Chen et al. (44), using SEER data, reported superior long-term survival for stage I HCC patients treated surgically compared with those receiving external beam radiotherapy (EBRT), with survival curves stabilizing by the third postoperative year. These findings underscore that, when tumors are resectable and liver function allows, surgery should be prioritized. Although RT was associated with poorer OS (HR =1.4, P=0.02) in our cohort, this likely reflects treatment indication rather than causality. RT is frequently administered to patients with advanced or unresectable HCC, primarily for symptom relief rather than survival extension (45). Consequently, patients receiving RT generally present with more advanced disease and poorer prognosis, a phenomenon known as indication bias (46). Furthermore, a latency period exceeding 60 months was associated with a markedly reduced mortality risk (HR =0.29, P<0.001), indicating favorable baseline prognosis and long-term survival potential. The development of SPMs does not necessarily imply worse outcomes; rather, it may reflect slow disease progression or effective treatment response. Deng et al. (47) reported that in breast cancer survivors, SPM occurrence was linked to improved survival, emphasizing the role of early intervention and favorable baseline condition. Similarly, Chen et al. (48) observed higher OS in colorectal cancer patients who developed early SPMs, suggesting that the timing and type of SPM may reflect individual survival dynamics. These findings are consistent with our observations and support the notion that SPM development may serve as an indirect indicator of long-term survival. There are limitations in this study. It relies on retrospective data from the SEER database, which may contain missing variables and potential confounders. Additionally, the relatively low incidence of SPMs in HCC limits statistical power. Although internal validation was performed, external validation using multicenter or prospective cohorts is necessary to confirm the model’s robustness and generalizability. Future research should incorporate larger, diverse datasets and explore the biological mechanisms underlying SPM development and long-term survivorship.
Conclusions
A nomogram predicting OS in HCC patients with subsequent SPM was developed and preliminarily validated using SEER data. The model demonstrated moderate discrimination and calibration during internal validation and may serve as a tool to support individualized follow-up and treatment decisions in this patient population.
Acknowledgments
We highly acknowledge the contribution of all doctors and nurses in the Second Ward of Hepatobiliary and Pancreatic Surgery (Hepatobiliary Surgery/Liver Transplantation), Affiliated Hospital of Qinghai University.
Footnote
Reporting Checklist: The authors have completed the TRIPOD reporting checklist. Available at https://tcr.amegroups.com/article/view/10.21037/tcr-2025-1456/rc
Peer Review File: Available at https://tcr.amegroups.com/article/view/10.21037/tcr-2025-1456/prf
Funding: The research was supported by
Conflicts of Interest: All authors have completed the ICMJE uniform disclosure form (available at https://tcr.amegroups.com/article/view/10.21037/tcr-2025-1456/coif). All authors report fundings from the National Natural Science Foundation of China (grant No. 82160131), the West Light Foundation of the Chinese Academy of Sciences, and the Kunlun Talents High-end Innovation and Entrepreneurship Program. The authors have no other conflicts of interest to declare.
Ethical Statement: The authors are accountable for all aspects of the work in ensuring that questions related to the accuracy or integrity of any part of the work are appropriately investigated and resolved. The study was conducted in accordance with the Declaration of Helsinki and its subsequent amendments.
Open Access Statement: This is an Open Access article distributed in accordance with the Creative Commons Attribution-NonCommercial-NoDerivs 4.0 International License (CC BY-NC-ND 4.0), which permits the non-commercial replication and distribution of the article with the strict proviso that no changes or edits are made and the original work is properly cited (including links to both the formal publication through the relevant DOI and the license). See: https://creativecommons.org/licenses/by-nc-nd/4.0/.
References
- Liu D, Song T. Advances in neoadjuvant therapy for hepatocellular carcinoma. Holistic Integrative Oncology 2025;4:
- Septiarini NA, Wardhani P, Maimunah U, et al. Demographics, risk factors, clinical manifestations, staging and liver function tests of hepatocellular Carcinoma: A literature review. World Journal of Advanced Research and Reviews 2024;24:2087-93.
- Bray F, Laversanne M, Sung H, et al. Global cancer statistics 2022: GLOBOCAN estimates of incidence and mortality worldwide for 36 cancers in 185 countries. CA Cancer J Clin 2024;74:229-63. [Crossref] [PubMed]
- Llovet JM, Kelley RK, Villanueva A, et al. Author Correction: Hepatocellular carcinoma. Nat Rev Dis Primers 2024;10:10. [Crossref] [PubMed]
- Zhang Y, Wei R, Bai L, et al. The onset characteristics and prognosis of patients with radiation-associated second primary malignancy: a pancancer study in the US SEER cancer registries. Transl Cancer Res 2024;13:5588-99. [Crossref] [PubMed]
- Magadan Álvarez C, Olmos-Martínez JM, González Tolaretxipi E, et al. Survival analysis of the surgical treatment of hepatocellular carcinoma at a tertiary care center. Rev Gastroenterol Mex (Engl Ed) 2024;89:323-31. [Crossref] [PubMed]
- Nakamura Y, Hirooka M, Hiraoka A, et al. Survival Improvements in Advanced Hepatocellular Carcinoma with Sequential Therapy by Era. Cancers (Basel) 2023;15:5298. [Crossref] [PubMed]
- Wong JSL, Leung R, Cheung TT, et al. Evolution of systemic therapy for advanced HCC patients: Did we make progress in 2022? Hepatol Commun 2023;7:e0117. [Crossref] [PubMed]
- Sun R, Xie H, He S, et al. A clinical report and analysis of metachronous multiple primary cancers occurred in four sites. J Cancer Res Clin Oncol 2025;151:319. [Crossref] [PubMed]
- Li H, Li Q, Ge J, et al. Prognostic factors and overall survival for second primary malignancies in myelodysplastic syndromes: a Cox regression coupled with competing risk model based on Surveillance, Epidemiology, and End Results (SEER) database. Transl Cancer Res 2025;14:5559-71. [Crossref] [PubMed]
- Kim SS, Lee J, Ahn SB, et al. Clinical Course and Prognosis of Long-Term Survivors of Hepatocellular Carcinoma. Aliment Pharmacol Ther 2025;61:1333-42. [Crossref] [PubMed]
- Hanif H, Ali MJ, Susheela AT, et al. Update on the applications and limitations of alpha-fetoprotein for hepatocellular carcinoma. World J Gastroenterol 2022;28:216-29. [Crossref] [PubMed]
- Kjaer TK, Andersen EAW, Ursin G, et al. Cumulative incidence of second primary cancers in a large nationwide cohort of Danish cancer survivors: a population-based retrospective cohort study. Lancet Oncol 2024;25:126-36. [Crossref] [PubMed]
- Fernández-Ruiz M, Guerra-Vales JM, Castelbón-Fernández FJ, et al. Multiple primary malignancies in Spanish patients with hepatocellular carcinoma: analysis of a hospital-based tumor registry. J Gastroenterol Hepatol 2009;24:1424-30. [Crossref] [PubMed]
- Hříbek P, Fraňková S, Klasová J, et al. Impact of multiple primary cancers on overall survival of patients with hepatocellular carcinoma. Neoplasma 2024;71:289-96. [Crossref] [PubMed]
- Ding Q, Wang K, Li Y, et al. Clinical Characteristics and Survival Analysis of Patients With Second Primary Malignancies After Hepatocellular Carcinoma Liver Transplantation: A SEER-based Analysis. Am J Clin Oncol 2023;46:284-92. [Crossref] [PubMed]
- Yang Z, Liu X, Yang X, et al. Second primary malignancies after ovarian cancer: A SEER-based analysis (1975-2016). Taiwan J Obstet Gynecol 2022;61:80-5. [Crossref] [PubMed]
- Lu YJ, Yang Y, Yuan YH, et al. A novel nomogram based on SEER database for the prediction of liver metastasis in patients with small-cell lung cancer. Ann Palliat Med 2020;9:3123-37. [Crossref] [PubMed]
- Riley RD, Ensor J, Snell KIE, et al. Calculating the sample size required for developing a clinical prediction model. BMJ 2020;368:m441. [Crossref] [PubMed]
- Tonorezos E, Devasia T, Mariotto AB, et al. Prevalence of cancer survivors in the United States. J Natl Cancer Inst 2024;116:1784-90. [Crossref] [PubMed]
- Mahvi DA, Liu R, Grinstaff MW, et al. Local Cancer Recurrence: The Realities, Challenges, and Opportunities for New Therapies. CA Cancer J Clin 2018;68:488-505. [Crossref] [PubMed]
- Haanen J, Ernstoff M, Wang Y, et al. Rechallenge patients with immune checkpoint inhibitors following severe immune-related adverse events: review of the literature and suggested prophylactic strategy. J Immunother Cancer 2020;8:e000604. [Crossref] [PubMed]
- Yang Y, Yang Y, Yan S. Risk and survival of second primary malignancies following diagnosis of gastric mucosa-associated lymphoid tissue lymphomas: A population-based study. Curr Probl Cancer 2021;45:100735. [Crossref] [PubMed]
- Zheng X, Li X, Wang M, et al. Second primary malignancies among cancer patients. Ann Transl Med 2020;8:638. [Crossref] [PubMed]
- Berrington de Gonzalez A, Curtis RE, Kry SF, et al. Proportion of second cancers attributable to radiotherapy treatment in adults: a cohort study in the US SEER cancer registries. Lancet Oncol 2011;12:353-60. [Crossref] [PubMed]
- Wu WC, Chen YT, Hwang CY, et al. Second primary cancers in patients with hepatocellular carcinoma: a nationwide cohort study in Taiwan. Liver Int 2013;33:616-23. [Crossref] [PubMed]
- Nzeako UC, Goodman ZD, Ishak KG. Association of hepatocellular carcinoma in North American patients with extrahepatic primary malignancies. Cancer 1994;74:2765-71. [Crossref] [PubMed]
- Yeh ML, Huang CI, Huang CF, et al. The impact of an additional extra-hepatic primary malignancy on the outcomes of patients with hepatocellular carcinoma. PLoS One 2017;12:e0184878. [Crossref] [PubMed]
- Shimada M, Takenaka K, Fujiwara Y, et al. Characteristics of hepatocellular carcinoma associated with extrahepatic primary malignancies in southern Japan. Am J Gastroenterol 1996;91:754-8.
- Chen X, Hao X, Wu J, et al. The global burden of bladder, kidney, and prostate cancers attributable to smoking from 1990 to 2021 and projections for the next two decades: A cross-sectional study. Tob Induc Dis 2025;
- Herrero JI, Pardo F, D'Avola D, et al. Risk factors of lung, head and neck, esophageal, and kidney and urinary tract carcinomas after liver transplantation: the effect of smoking withdrawal. Liver Transpl 2011;17:402-8. [Crossref] [PubMed]
- Mellemkjær L, Eibye S, Albieri V, et al. Pregnancy-associated cancer and the risk of second primary cancer. Cancer Causes Control 2022;33:63-71. [Crossref] [PubMed]
- Wong LL, Lurie F, Takanishi DM Jr. Other primary neoplasms in patients with hepatocellular cancer: prognostic implications? Hawaii Med J 2007;66:204-206-8.
- Bian X, He X, Yang L, et al. Prognosis of Hepatocellular Carcinoma Among Cancer Survivors with Other Types of Primary Tumors. Dig Dis Sci 2020;65:2140-7. [Crossref] [PubMed]
- Pawelec G. Immunosenescence and cancer. Biogerontology 2017;18:717-21. [Crossref] [PubMed]
- Tajiri K, Shimizu Y. Liver physiology and liver diseases in the elderly. World J Gastroenterol 2013;19:8459-67. [Crossref] [PubMed]
- Bluethmann SM, Mariotto AB, Rowland JH. Anticipating the "Silver Tsunami": Prevalence Trajectories and Comorbidity Burden among Older Cancer Survivors in the United States. Cancer Epidemiol Biomarkers Prev 2016;25:1029-36. [Crossref] [PubMed]
- Shalaby S, Taborelli M, Zanetto A, et al. Hepatocellular carcinoma and the risk of de novo malignancies after liver transplantation - a multicenter cohort study. Transpl Int 2021;34:743-53. [Crossref] [PubMed]
- Schnitzbauer AA, Filmann N, Adam R, et al. mTOR Inhibition Is Most Beneficial After Liver Transplantation for Hepatocellular Carcinoma in Patients With Active Tumors. Ann Surg 2020;272:855-62. [Crossref] [PubMed]
- Colmenero J, Tabrizian P, Bhangui P, et al. De Novo Malignancy After Liver Transplantation: Risk Assessment, Prevention, and Management-Guidelines From the ILTS-SETH Consensus Conference. Transplantation 2022;106:e30-e45. [Crossref] [PubMed]
- Aizer AA, Chen MH, McCarthy EP, et al. Marital status and survival in patients with cancer. J Clin Oncol 2013;31:3869-76. [Crossref] [PubMed]
- Maas JA, Monreal AJ, Diaz EL, et al. Marital Status and Survival in Patients Diagnosed with Melanoma. Dermatol Res Pract 2020;2020:2485401. [Crossref] [PubMed]
- Xia YX, Zhang F, Li XC, et al. Surgical treatment of primary liver cancer:a report of 10 966 cases. Zhonghua Wai Ke Za Zhi 2021;59:6-17. Chinese. [Crossref] [PubMed]
- Chen R, An Y, Xu M. Prognostic difference between surgery and external radiation in patients with stage I liver cancer based on competitive risk model and conditional survival rate. PLoS One 2024;19:e0298014. [Crossref] [PubMed]
- Dhakad GG, Patil GD, Nikum AC, et al. Review on radiation therapy on cancer. Research Journal of Pharmacology and Pharmacodynamics 2022;14:4-12.
- Bersanelli M, Lattanzi E, D'Abbiero N, et al. Palliative radiotherapy in advanced cancer patients treated with immune-checkpoint inhibitors: The PRACTICE study. Biomed Rep 2020;12:59-67. [Crossref] [PubMed]
- Deng Z, Jones MR, Wang MC, et al. Mortality after second malignancy in breast cancer survivors compared to a first primary cancer: a nationwide longitudinal cohort study. NPJ Breast Cancer 2022;8:82. [Crossref] [PubMed]
- Chen F, Chen J, Luo D, et al. Prognosis and clinicopathological features of patients with early-onset and late-onset colorectal cancer with second primary malignancies. J Gastroenterol Hepatol 2025;40:133-41. [Crossref] [PubMed]

