Development and internal validation of a prognostic model for hepatocellular carcinoma after liver resection based on the albumin-bilirubin score and triglyceride-glucose index
Highlight box
Key findings
• The albumin-bilirubin (ALBI) score and triglyceride-glucose (TyG) index independently predicted overall survival after liver resection in hepatocellular carcinoma (HCC).
• A nomogram combining the ALBI score and TyG index was developed from the data, showing an area under the curve of 0.823.
What is known and what is new?
• Prognosis after hepatic resection for HCC depends on liver function, metabolic status, and tumor characteristics, yet current predictors such as the Child-Pugh and Model for End-Stage Liver Disease scores remain suboptimal.
• This study shows that combining ALBI and TyG provides a more comprehensive reflection of hepatic reserve and metabolic burden. The nomogram developed represents a practical and innovative prognostic tool that relies only on routinely available biochemical indicators.
What is the implication, and what should change now?
• The ALBI-TyG model may assist in preoperative risk stratification and guide individualized management strategies.
• Prospective multicenter studies are needed to validate its clinical utility and improve its integration into routine clinical practice.
Introduction
Primary liver cancer ranks as the third leading cause of cancer-related mortality worldwide, characterized by significant heterogeneity and complex etiological factors. Hepatocellular carcinoma (HCC), the most common type of liver cancer, accounts for approximately 75–85% of all liver cancer cases (1). In China, HCC is the fourth most prevalent malignant tumor and the second leading cause of cancer-related deaths (2), posing a serious public health threat. Current treatment options for HCC include surgical resection, local ablation, and liver transplantation, among which hepatic resection remains one of the primary curative approaches and is essential for achieving long-term survival (3). However, long-term postoperative prognosis remains unsatisfactory, with studies showing a 5-year survival rate of less than 50% (4). Prognosis is influenced by various factors, including hepatic functional reserve, tumor biology, and postoperative management. Therefore, accurate preoperative assessment is crucial for optimizing treatment strategies and improving survival outcomes.
In clinical practice, the prognosis of patients with HCC is commonly assessed using tools such as the Child-Pugh and Model for End-Stage Liver Disease (MELD) scores. However, both scoring systems have notable limitations when applied specifically to HCC patients. The Child-Pugh score includes subjective components and employs relatively coarse grading, making it less sensitive to subtle or early hepatic dysfunction. Similarly, the MELD score demonstrates limited sensitivity in detecting early changes in liver function and has reduced capability in identifying high-risk individuals. Moreover, neither scoring system was originally developed for patients with HCC, and thus, they fail to account for critical factors such as tumor burden and systemic metabolic disturbances (5). These limitations reduce their utility in accurate preoperative risk stratification and postoperative prognostic evaluation in the context of HCC.
In 2015, Johnson et al. introduced the albumin-bilirubin (ALBI) score to assess liver function in patients with chronic liver disease. This score offers greater simplicity and objectivity in calculation (6), and multiple studies have demonstrated its prognostic relevance in postoperative HCC patients across different populations (7).
The triglyceride-glucose (TyG) index is an emerging, simple, and reliable metabolic marker that reflects insulin resistance (IR) (8). IR contributes to hepatocarcinogenesis by promoting hepatic steatosis, chronic inflammation, and dysregulated proliferative signaling, thereby facilitating a pro-tumorigenic microenvironment (9). Beyond tumor initiation, IR-related metabolic dysfunction has been linked to impaired liver regeneration and heightened susceptibility to postoperative stress, suggesting that preoperative TyG levels may reflect underlying biological vulnerability (10). In addition, elevated TyG captures systemic metabolic comorbidities such as diabetes, dyslipidemia, and cardiovascular risk, all of which are independent determinants of long-term mortality after major hepatic surgery (11). Thus, TyG may reflect both intrinsic tumor aggressiveness and systemic metabolic stress, providing a biologically plausible link to poorer long-term survival after liver resection. These mechanistic pathways support the rationale for including the TyG index in a prognostic model for postoperative outcomes in HCC patients.
As a quantitative metric, the ALBI score offers greater objectivity and reproducibility than the Child-Pugh classification, which incorporates subjective assessments. It has demonstrated wide applicability across liver diseases of various etiologies and in patients with substantial comorbidities (12). In recent years, several ALBI-based composite models have been proposed, such as ALBI-fibrosis-4 (FIB4), platelet-ALBI (PALBI), and ALBI-aspartate aminotransferase (AST) to platelet ratio index (APRI) (13), which aim to enhance prognostic precision by integrating fibrosis, platelet count, or inflammatory markers. However, these models mainly focus on hepatic structural injury or portal hypertension and do not adequately capture the metabolic derangements increasingly recognized as key determinants of HCC progression and postoperative survival. The TyG index provides a convenient and reproducible surrogate for IR, a metabolic dysfunction implicated in hepatocarcinogenesis, systemic inflammation, and impaired hepatic regenerative capacity (14). TyG reflects systemic metabolic stress, which are independent contributors to long-term mortality after liver resection. Thus, incorporating TyG into an ALBI-based framework captures a complementary dimension of patient risk that existing ALBI-plus models do not address.
Recognizing the limitations of relying on a single pathophysiological domain, this study integrates ALBI and TyG to jointly assess preoperative hepatic functional reserve and metabolic burden. This combined approach enables the development of a pragmatic and biologically grounded prognostic model, with potential value for improving preoperative risk stratification and informing personalized postoperative management strategies. We present this article in accordance with the TRIPOD reporting checklist (available at https://tcr.amegroups.com/article/view/10.21037/tcr-2025-1868/rc).
Methods
Data origin
This retrospective study included patients who underwent first-time hepatic resection for pathologically confirmed HCC between January 2018 and November 2025 at The First Hospital of Shanxi Medical University. Eligible cases were identified using the International Classification of Diseases (ICD)-11 code 2C12.02. All participants were consecutively hospitalized with complete clinical and pathological data, retrieved from electronic medical record systems. Personally identifiable information was de-identified, and investigators remained blinded to patient identities. The study was conducted in accordance with the Declaration of Helsinki and its subsequent amendments. The study was approved by the Ethics Committee of The First Hospital of Shanxi Medical University (approval No. DWYJ-2022-025) and informed consent was obtained from all individual participants.
Study design
This study aimed to evaluate the prognostic value of the ALBI score combined with the TyG index in patients with HCC undergoing hepatic resection. A total of 238 patients were included in this study from the Department of Hepatobiliary Surgery at The First Hospital of Shanxi Medical University. Baseline clinical characteristics and laboratory data within 1 week prior to surgery were collected for all patients, including serum albumin (ALB), total bilirubin (TBIL), fasting blood glucose (FBG), and triglyceride (TG) levels, which were used to calculate the ALBI score and TyG index. Postoperative survival status was obtained through telephone follow-up. Follow-up commenced on postoperative day 1 and continued until either December 1, 2025, or the date of patient death. Overall survival (OS) was defined as the time interval from the date of surgery to the date of death or the end of follow-up.
Inclusion and exclusion criteria
Inclusion criteria: (I) patients who met the diagnostic criteria for HCC in the Guideline for the Diagnosis and Treatment of Primary Liver Cancer (2024 edition) (3), with postoperative pathological confirmation of HCC; (II) aged between 18 and 80 years; (III) undergoing hepatic resection for the first time without any prior antitumor treatment; and (IV) complete clinical and pathological data available, with informed consent voluntarily signed by the patient or their legal guardian.
Exclusion criteria: (I) incomplete clinical data or missing key laboratory parameters; (II) receipt of other antitumor therapies prior to surgery [e.g., liver transplantation, ablation, transarterial chemoembolization (TACE)]; (III) concurrent malignancies or presence of distant metastases; and (IV) inability to complete follow-up or loss to follow-up.
All eligible patients underwent comprehensive review of clinical data to confirm HCC diagnosis and study eligibility. A total of 238 patients with complete baseline data were included in the final analysis. An additional 8 patients were excluded due to missing key clinical or biochemical variables. To assess potential selection bias, we compared the baseline characteristics of these excluded patients with those of the included cohort and found no meaningful differences. The final cohort (n=238) comprised 148 patients who remained alive and 90 who died during follow-up. Given the objective of developing a robust prognostic model, the entire cohort was used for model construction, and internal validation was performed using bootstrap resampling rather than split-sample methods, thereby maximizing statistical power and minimizing potential bias.
Study variables and outcomes
The primary variables in this study are the ALBI score and the TyG index. The ALBI score is an objective measure of hepatic functional reserve that has been widely recognized for its simplicity and applicability in liver disease. It is calculated using the formula: [log10 TBIL (µmol/L) × 0.66] + [serum ALB (g/L) × (−0.085)]. The TyG index, a surrogate marker for IR and metabolic status, has been extensively applied in studies involving various metabolic disorders and cancer prognoses. Its formula is: ln [TG (mg/dL) × fasting plasma glucose (mg/dL)/2]. The primary outcome of this study was OS following hepatic resection in patients with HCC. Patient survival status and duration were collected through postoperative follow-up and used to evaluate the prognostic performance of the ALBI score and TyG index, both individually and in combination, in predicting long-term outcomes.
Treatment methods
Upon hospital admission, all patients underwent comprehensive laboratory and imaging evaluations, leading to a preliminary diagnosis of HCC. After multidisciplinary team (MDT) assessment, patients without significant contraindications for surgery were enrolled in perioperative management and scheduled for elective curative hepatic resection.
The surgical approach—laparoscopic, robot-assisted, or open surgery—was selected based on a comprehensive evaluation of tumor location, size, and proximity to major vascular structures. All procedures were performed under combined intravenous-inhalation general anesthesia with the patient in the supine position. Intraoperatively, if limited exposure, complex anatomy, or technical constraints compromised the surgical field, conversion to open surgery was performed as appropriate.
Postoperatively, all patients received standardized supportive care in the short term, including fasting, anti-infective therapy, hepatoprotective treatment, and nutritional support, until stabilization of clinical status.
Statistical analysis
Continuous variables were presented as mean and standard deviation (SD) and compared using the independent samples t-test. Categorical variables were expressed as counts and percentages, with between-group comparisons conducted using the Chi-squared test or Fisher’s exact test, as appropriate. OS was analyzed using the Cox proportional hazards regression model to identify prognostic factors. In multivariate analysis, we used stepwise regression to select variables, which combined forward selection and backward elimination. The method could avoid to produce biased parameter estimates and overly optimistic performance metrics in small datasets. The median values of ALBI score and TyG index were used as cut-off points to stratify patients. Survival probabilities were estimated using the Kaplan-Meier method, and differences between groups were assessed by the log-rank test. A nomogram was constructed to predict 2-, 3-, and 4-year survival probabilities. The predictive performance of the model in both the training and validation cohorts was assessed by plotting receiver operating characteristic (ROC) curves and calculating area under the curve (AUC). Calibration curves were generated, and bootstrap resampling (500 iterations) was performed to assess model calibration and further validate the performance of the model. To evaluate the clinical utility of the prognostic model, decision curve analysis (DCA) was conducted. All statistical analyses were performed using R software (version 4.3.2). All statistical tests were two-sided, and P<0.05 was considered statistically significant.
Results
Baseline characteristics
Comparative analysis of baseline characteristics between the survival group and the death group showed the following results. No significant differences were observed in sex, age, alanine aminotransferase (ALT), AST, total protein (TP), total cholesterol (TC), international normalized ratio (INR), or MELD score (P>0.05). In contrast, several variables demonstrated significant differences between the two groups. The distribution of pathological differentiation grades was different, and the survival group had a higher proportion of moderately differentiated tumors. In addition, the survival group had significantly higher ALB levels, while Child-Pugh score, TBIL, TG, FBG, and alpha-fetoprotein (AFP) were significantly higher in the death group (P<0.05). As a result, the ALBI score and TyG index were also significantly lower in the survival group. These findings indicate that patients who survived exhibited better baseline liver functional reserve and metabolic status, whereas impaired liver function and metabolic dysregulation were more prevalent among those who died (Table 1).
Table 1
| Variables | Death group | Survival group | Total | Z | P |
|---|---|---|---|---|---|
| Sex | 0.851 | 0.36 | |||
| Male | 25 (27.78) | 32 (21.62) | 57 (23.95) | ||
| Female | 65 (72.22) | 116 (78.38) | 181 (76.05) | ||
| Age (years) | 58.50 (50.75, 65.00) | 60.00 (55.00, 65.00) | 59.00 (53.75, 65.00) | −1.256 | 0.21 |
| Pathological differentiation | 9.414 | 0.009 | |||
| 1 | 22 (24.44) | 15 (10.14) | 37 (15.55) | ||
| 2 | 54 (60.00) | 112 (75.68) | 166 (69.75) | ||
| 3 | 14 (15.56) | 21 (14.19) | 35 (14.71) | ||
| ALT (U/L) | 26.00 (17.10, 32.70) | 26.00 (17.25, 31.75) | 26.00 (17.10, 32.05) | −0.424 | 0.67 |
| AST (U/L) | 29.80 (21.75, 37.47) | 30.00 (22.00, 37.00) | 30.00 (22.00, 37.30) | −0.334 | 0.74 |
| TP (g/L) | 66.75 (63.00, 71.12) | 67.50 (63.70, 72.18) | 67.35 (63.55, 71.50) | −0.871 | 0.38 |
| ALB (g/L) | 38.85 (35.45, 40.25) | 41.35 (38.40, 43.77) | 39.95 (36.98, 42.92) | −4.993 | <0.001 |
| TBIL (μmol/L) | 17.15 (14.20, 25.10) | 15.45 (12.53, 20.38) | 16.40 (13.00, 21.35) | −2.696 | 0.007 |
| ALBI score | −2.49 (−2.60, −2.11) | −2.72 (−2.94, −2.47) | −2.60 (−2.84, −2.31) | −5.825 | <0.001 |
| TC (mg/dL) | 4.06 (3.54, 4.46) | 4.09 (3.38, 4.45) | 4.09 (3.47, 4.46) | −0.048 | 0.96 |
| TG (mmol/L) | 1.48 (1.07, 1.81) | 1.02 (0.80, 1.34) | 1.18 (0.86, 1.60) | −5.710 | <0.001 |
| FBG (mmol/L) | 5.34 (4.90, 6.12) | 5.10 (4.55, 5.84) | 5.18 (4.68, 5.90) | −2.611 | 0.009 |
| TyG index | 8.76±0.39 | 8.39±0.43 | 8.53±0.45 | 6.736 | <0.001 |
| AFP (ng/mL) | 29.85 (29.85, 81.39) | 17.76 (5.46, 32.74) | 26.78 (10.29, 53.10) | −5.588 | <0.001 |
| INR | 1.07 (1.01, 1.15) | 1.08 (1.02, 1.16) | 1.07 (1.02, 1.16) | −0.458 | 0.65 |
| MELD score | 8.00 (7.00, 9.00) | 8.00 (7.00, 9.00) | 8.00 (7.00, 9.00) | −0.682 | 0.50 |
| Child score | 16.524 | <0.001 | |||
| 5 | 51 (56.67) | 120 (81.08) | 171 (71.85) | ||
| 6 | 34 (37.78) | 24 (16.22) | 58 (24.37) | ||
| 7 | 5 (5.56) | 4 (2.70) | 9 (3.78) |
Data are presented as n (%), median (IQR), or mean ± SD. AFP, alpha-fetoprotein; ALB, albumin; ALBI, albumin-bilirubin; ALT, alanine aminotransferase; AST, aspartate aminotransferase; FBG, fasting blood glucose; INR, international normalized ratio; IQR, interquartile range; MELD, Model for End-Stage Liver Disease; SD, standard deviation; TBIL, total bilirubin; TC, total cholesterol; TG, triglyceride; TP, total protein; TyG, triglyceride-glucose.
Univariate and multivariate analyses
Univariate Cox regression identified ALBI score, TyG index, pathological differentiation, ALB, TG, TP, Child-Pugh score, and AFP as significant prognostic factors (P<0.05). Following stepwise selection in the multivariate model, both the ALBI score [hazard ratio (HR) =4.549; 95% confidence interval (CI): 2.392–8.652; P<0.001] and the TyG index (HR =5.031; 95% CI: 2.774–9.125; P<0.001) remained significant, confirming that these two variables independently predicted OS (Table 2).
Table 2
| Variables | Univariate | Multivariate | |||
|---|---|---|---|---|---|
| HR (95% CI) | P | HR (95% CI) | P | ||
| TP | 0.952 (0.919, 0.987) | 0.008 | 0.968 (0.930, 1.008) | 0.11 | |
| ALBI score | 5.120 (2.944, 8.905) | <0.001 | 4.549 (2.392, 8.652) | <0.001 | |
| TyG index | 4.202 (2.459, 7.180) | <0.001 | 5.031 (2.774, 9.125) | <0.001 | |
| AFP | 1.007 (1.003, 1.011) | 0.001 | 1.004 (0.999, 1.009) | 0.09 | |
| Male | 0.632 (0.397, 1.007) | 0.053 | |||
| Age | 1.001 (0.981, 1.023) | 0.89 | |||
| Pathological differentiation | 0.711 (0.519, 0.975) | 0.03 | |||
| ALT | 0.996 (0.979, 1.014) | 0.67 | |||
| AST | 1.001 (0.982, 1.020) | 0.93 | |||
| TC | 1.126 (0.859, 1.476) | 0.39 | |||
| ALB | 0.884 (0.843, 0.926) | <0.001 | |||
| TBIL | 1.031 (0.997, 1.065) | 0.08 | |||
| MELD score | 1.059 (0.896, 1.252) | 0.50 | |||
| TG | 2.913 (1.889, 4.490) | <0.001 | |||
| FBG | 1.066 (0.886, 1.282) | 0.50 | |||
| Child score | 1.558 (1.126, 2.155) | 0.007 | |||
| INR | 0.637 (0.089, 4.549) | 0.65 | |||
AFP, alpha-fetoprotein; ALB, albumin; ALBI, albumin-bilirubin; ALT, alanine aminotransferase; AST, aspartate aminotransferase; CI, confidence interval; FBG, fasting blood glucose; HR, hazard ratio; INR, international normalized ratio; MELD, Model for End-Stage Liver Disease; TBIL, total bilirubin; TC, total cholesterol; TG, triglyceride; TP, total protein; TyG, triglyceride-glucose.
Kaplan-Meier survival analysis
Kaplan-Meier analysis, using the respective median values as cut-off points (ALBI score: −2.60; TyG index: 8.58), showed that patients with higher ALBI scores had markedly reduced OS, with a median of 2.63 years compared with 7.07 years in the lower-score group (log-rank P<0.001). Similarly, patients with higher TyG index values experienced greater mortality risk and poorer long-term survival. These findings highlight the significant prognostic value of both ALBI score and TyG index in postoperative HCC outcomes (Figure 1).
Nomogram and calibration curves
A prognostic nomogram incorporating ALBI score and TyG index was developed to estimate 2-, 3-, and 4-year OS. The total score ranged from 0 to 180, with higher scores corresponding to reduced survival probabilities. For instance, a score of 139 predicted approximately 50% survival at 2 years, whereas a score of 94 predicted the same probability at 4 years. The model achieved a concordance index (C-index) of 0.81, indicating strong discriminative performance. Calibration plots showed close agreement between predicted and observed outcomes. Internal validation using 500 bootstrap resamples confirmed the model’s robustness (Figures 2,3).
Prognostic value of the combined ALBI score and TyG index
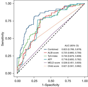
Based on the ROC analysis of the full dataset, the combined model integrating the ALBI score and TyG index demonstrated the highest discriminative ability for predicting OS. The AUC for the combined model was 0.823 (95% CI: 0.768–0.878), outperforming each individual parameter. Among individual predictors, the TyG index showed the highest discriminative ability (AUC =0.744; 95% CI: 0.679–0.808), with the ALBI score (AUC =0.725; 95% CI: 0.660–0.790) and AFP (AUC =0.716; 95% CI: 0.650–0.782) demonstrating moderate performance. In contrast, traditional liver function scores performed poorly, with the Child-Pugh score yielding an AUC of 0.621 (95% CI: 0.561–0.682) and the MELD score showing minimal predictive value (AUC =0.526; 95% CI: 0.451–0.600). Overall, the combined ALBI-TyG model provided substantially superior discrimination compared with all single indices and conventional scoring systems. DCA further supported these findings by demonstrating that the combined model yielded a higher net clinical benefit across a broad range of risk thresholds, particularly between approximately 0.20 and 0.80, compared with both the “treat all” and “treat none” strategies. This indicates that the model offers meaningful clinical utility and may aid decision-making in routine practice (Figures 4,5).
Discussion
HCC is a biologically heterogeneous malignancy and the third leading cause of cancer-related mortality worldwide (15). Hepatic resection remains a mainstay curative option; however, long-term outcomes vary considerably, influenced by patient characteristics, tumor biology, perioperative events, and postoperative management (16). These variations underscore the importance of preoperative optimization of liver function, improvement of metabolic status, and precise prognostic risk assessment to maximize survival benefit. In the present study, both the ALBI score and the TyG index emerged as independent predictors of survival after resection. The ALBI score, derived from ALB and bilirubin levels, serves as an objective measure of hepatic functional reserve (17), whereas the TyG index, calculated from fasting glucose and TGs, reflects systemic metabolic dysregulation (18). Their combined use enables a more comprehensive appraisal of both hepatic function and metabolic status, thereby enhancing the accuracy of preoperative prognostic evaluation in HCC.
Recent studies have established the ALBI score as a robust prognostic marker in HCC (19,20). Our findings corroborate its predictive value in patients undergoing hepatic resection, with significantly higher preoperative ALBI scores observed in the mortality group than in the survival group (P<0.05). Elevated ALBI scores likely reflect impaired hepatic reserve arising from the combined effects of HCC on ALB and bilirubin metabolism, thereby contributing to poorer postoperative outcomes. Specifically, the tumor itself and its associated chronic inflammatory state may suppress hepatic protein synthesis, leading to reduced serum ALB levels (17). In addition, increased nutritional consumption, portal hypertension, and hepatic microcirculatory disturbances further exacerbate liver injury. Concurrently, HCC may cause bile duct compression or cholestasis, impairing bilirubin excretion, while hepatocellular damage reduces the liver’s capacity to metabolize bilirubin, resulting in elevated serum bilirubin levels (21).
The TyG index, an effective surrogate marker for IR and metabolic status, has garnered increasing research interest in various malignancies in recent years. Previous studies have demonstrated a strong association between TyG and the development of solid tumors such as breast and colorectal cancer (10,11). It has also shown promising prognostic utility in conditions like nonalcoholic fatty liver disease (NAFLD) and in post-liver transplantation patients (22,23). In the present study, we further identified a significant difference in TyG index levels between postoperative HCC patients with different outcomes. Moreover, both univariate and multivariate Cox regression analyses confirmed TyG as an independent prognostic factor for postoperative HCC outcomes (P<0.05), suggesting its potential clinical relevance in preoperative risk assessment.
Although the precise mechanistic link between the TyG index and HCC prognosis remains incompletely understood, emerging evidence points to several plausible biological pathways that may underlie this association. The TyG index reflects systemic metabolic disturbances that can directly influence tumor biology. IR-induced hyperglycemia provides a sustained energy source for tumor cells, thereby fueling malignant proliferation. Simultaneously, elevated glucose levels may activate the PI3K/Akt/mTOR signaling pathway and upregulate hypoxia-inducible factor-1α (HIF-1α) (24), promoting angiogenesis, enhancing cancer cell survival, and supporting tumor progression.
Furthermore, IR and accompanying hypertriglyceridemia can provoke a chronic proinflammatory state through the release of inflammatory mediators such as interleukin-6 (IL-6), transforming growth factor-β1 (TGF-β1), and reactive oxygen species (ROS). This persistent low-grade inflammation contributes to an immunosuppressive tumor microenvironment, disrupts hepatic homeostasis, and facilitates hepatocarcinogenesis and metastatic potential (25,26). In addition, IR has been implicated in modulating immune responses by impairing T-cell function, promoting M2 macrophage polarization, and altering cytokine profiles, all of which may diminish anti-tumor immunity and accelerate disease progression (27). Importantly, these metabolic and inflammatory changes are not only relevant to tumor initiation but also appear to influence postoperative recurrence and survival, suggesting a continuous role of systemic metabolism in shaping HCC outcomes.
Consequently, the TyG index may serve as a useful biomarker for identifying patients at elevated metabolic risk. However, the prognostic implications of TyG in HCC are not uniform across studies. Some reports describe an obesity paradox in cancer surgery, where greater metabolic reserve, which can present as higher lipid or glucose levels, is associated with protection against postoperative catabolic stress (28). Other HCC studies have shown that low TyG predicts poorer outcomes and have interpreted this finding as a reflection of malnutrition or impaired hepatic synthetic function (29).
In our cohort, higher TyG was associated with worse survival. Several factors may explain this difference. First, most patients in this study had chronic hepatitis B virus (HBV)-related liver disease. HBV infection disrupts hepatic lipid metabolism and reduces very low-density lipoprotein (VLDL) synthesis, thereby leading to impaired TG hydrolysis. In this metabolic context, elevated TyG is more likely to represent underlying metabolic dysfunction rather than adequate nutritional reserve (30). Second, the overall nutritional status of our cohort was relatively preserved, which reduces the possibility that low TyG represented malnutrition. Third, HBV-related hepatocarcinogenesis is associated with chronic inflammation and IR; therefore, higher TyG may indicate a more severe degree of metabolic dysregulation that directly contributes to adverse outcomes. These considerations suggest that the prognostic meaning of TyG is highly dependent on underlying liver disease etiology and metabolic context, which may account for the differences observed between our findings and previous reports.
The ALBI score and TyG index were selected because they capture two essential and complementary aspects of HCC prognosis: hepatic functional reserve and systemic metabolic status. Our approach aligns with the broader trend in HCC prognostication towards integrating multifaceted data. For instance, recent studies have leveraged machine learning to combine clinical and tumor characteristics for predicting survival in complex subgroups (31), while others have employed bioinformatic strategies to develop gene signatures associated with specific therapeutic responses (32). Together, they provide a more comprehensive reflection of a patient’s physiological condition without adding any additional laboratory burden. Compared with traditional systems, the ALBI-TyG model offers clearer prognostic discrimination and greater practical value in preoperative risk stratification.
The inferior performance of the Child-Pugh classification and MELD score likely reflects their inherent limitations. Both rely on subjective clinical parameters or variables susceptible to short-term fluctuations, which can reduce their precision in assessing true liver reserve. AFP also performed less favorably because its expression is heterogeneous and easily influenced by factors unrelated to tumor progression, leading to reduced sensitivity and specificity (33). In contrast, the ALBI-TyG model demonstrated stronger predictive accuracy, with an AUC of 0.823. This advantage may stem from the objective and quantitative nature of its components and their closer relationship to both tumor biology and postoperative physiological stress. By integrating liver-specific function with metabolic status, the ALBI-TyG model improves identification of high-risk patients and supports individualized perioperative planning, including nutritional and metabolic optimization, careful candidate selection, and tailored postoperative surveillance. These findings highlight the value of combining hepatic and metabolic metrics to enhance prognostic assessment in HCC.
Despite these promising results, several limitations should be considered. First, the composite model was developed using routine biochemical parameters, which, while reflective of hepatic function and metabolic status, do not fully account for other determinants of prognosis such as systemic inflammation and nutritional reserve. Future studies should incorporate additional, disease-specific biomarkers to enhance predictive accuracy. Second, the retrospective design and relatively small sample size limited the feasibility of subgroup analyses and may have introduced selection bias. Third, as a single-center study, the findings require external validation before broader application. Prospective, multicenter investigations with larger cohorts are warranted to confirm the prognostic value of the ALBI-TyG model that can optimize preoperative risk stratification and guide individualized postoperative management.
Conclusions
This study demonstrates that integrating the ALBI score with the TyG index yields a powerful prognostic tool for assessing postoperative outcomes in patients with HCC undergoing hepatic resection. By simultaneously capturing hepatic functional reserve and systemic metabolic status, the integrated ALBI-TyG model offers a more comprehensive assessment of patient risk, enabling earlier identification of high-risk individuals who may be overlooked by conventional prognostic tools. This is the first study to apply this combined approach for prognostic evaluation in HCC surgical patients, showing clear potential for clinical application in optimizing preoperative decision-making, tailoring perioperative management, and refining postoperative surveillance strategies. Although further validation in larger, multi-center cohorts is needed to confirm its generalizability, these findings provide a robust foundation for incorporating functional-metabolic indices into routine clinical risk assessment.
Acknowledgments
None.
Footnote
Reporting Checklist: The authors have completed the TRIPOD reporting checklist. Available at https://tcr.amegroups.com/article/view/10.21037/tcr-2025-1868/rc
Data Sharing Statement: Available at https://tcr.amegroups.com/article/view/10.21037/tcr-2025-1868/dss
Peer Review File: Available at https://tcr.amegroups.com/article/view/10.21037/tcr-2025-1868/prf
Funding: This work was supported by
Conflicts of Interest: All authors have completed the ICMJE uniform disclosure form (available at https://tcr.amegroups.com/article/view/10.21037/tcr-2025-1868/coif). The authors have no conflicts of interest to declare.
Ethical Statement: The authors are accountable for all aspects of the work in ensuring that questions related to the accuracy or integrity of any part of the work are appropriately investigated and resolved. The study was conducted in accordance with the Declaration of Helsinki and its subsequent amendments. The study was approved by the Ethics Committee of The First Hospital of Shanxi Medical University (approval No. DWYJ-2022-025) and informed consent was obtained from all individual participants.
Open Access Statement: This is an Open Access article distributed in accordance with the Creative Commons Attribution-NonCommercial-NoDerivs 4.0 International License (CC BY-NC-ND 4.0), which permits the non-commercial replication and distribution of the article with the strict proviso that no changes or edits are made and the original work is properly cited (including links to both the formal publication through the relevant DOI and the license). See: https://creativecommons.org/licenses/by-nc-nd/4.0/.
References
- Bray F, Laversanne M, Sung H, et al. Global cancer statistics 2022: GLOBOCAN estimates of incidence and mortality worldwide for 36 cancers in 185 countries. CA Cancer J Clin 2024;74:229-63. [Crossref] [PubMed]
- Han B, Zheng R, Zeng H, et al. Cancer incidence and mortality in China, 2022. J Natl Cancer Cent 2024;4:47-53. [Crossref] [PubMed]
- Department of Medical Administration, National Health Commission of the People's Republic of China. Guideline for diagnosis and treatment of primary liver cancer (2024 version). Chinese Journal of Hepatology 2024;32:581-630.
- Yan PG, Wang RY, Zhang J, et al. Impact of Preoperative Hepatitis B Virus Levels on Prognosis After Primary and Repeat Hepatectomies for Hepatocellular Carcinoma Patients-a Retrospective Study. J Gastrointest Surg 2018;22:872-83. [Crossref] [PubMed]
- Burkhart RA, Pawlik TM. Staging and Prognostic Models for Hepatocellular Carcinoma and Intrahepatic Cholangiocarcinoma. Cancer Control 2017;24:1073274817729235. [Crossref] [PubMed]
- Johnson PJ, Berhane S, Kagebayashi C, et al. Assessment of liver function in patients with hepatocellular carcinoma: a new evidence-based approach-the ALBI grade. J Clin Oncol 2015;33:550-8. [Crossref] [PubMed]
- Zhao S, Wang M, Yang Z, et al. Comparison between Child-Pugh score and Albumin-Bilirubin grade in the prognosis of patients with HCC after liver resection using time-dependent ROC. Ann Transl Med 2020;8:539. [Crossref] [PubMed]
- Kim YM, Kim JH, Park JS, et al. Association between triglyceride-glucose index and gastric carcinogenesis: a health checkup cohort study. Gastric Cancer 2022;25:33-41. [Crossref] [PubMed]
- Wang H, Yan F, Cui Y, et al. Association between triglyceride glucose index and risk of cancer: A meta-analysis. Front Endocrinol (Lausanne) 2022;13:1098492. [Crossref] [PubMed]
- Shi H, Zhou L, Yang S, et al. The relationship between Triglyceride and glycose (TyG) index and the risk of gynaecologic and breast cancers. Clin Nutr ESPEN 2022;51:345-52. [Crossref] [PubMed]
- Liu T, Zhang Q, Wang Y, et al. Association between the TyG index and TG/HDL-C ratio as insulin resistance markers and the risk of colorectal cancer. BMC Cancer 2022;22:1007. [Crossref] [PubMed]
- Romero MDCD, Hernandez SZ, Ruiz GC, et al. Clinical and prognostic utility of ALBI versus Child-Pugh score in a Mexican population with hepatocellular carcinoma. J Clin Oncol 2023;41:517.
- Sindhughosa DA, Mariadi IK, Wibawa IDN, et al. Evaluation of mortality risk in liver cirrhosis with albumin-bilirubin (Albi), platelet-albumin-bilirubin (Palbi), and fibrosis-4 (Fib-4) scores. Biomed Pharmacol J 2021;14:985-91.
- Shi T, Kobara H, Oura K, et al. Mechanisms Underlying Hepatocellular Carcinoma Progression in Patients with Type 2 Diabetes. J Hepatocell Carcinoma 2021;8:45-55. [Crossref] [PubMed]
- Heimbach JK, Kulik LM, Finn RS, et al. AASLD guidelines for the treatment of hepatocellular carcinoma. Hepatology 2018;67:358-80. [Crossref] [PubMed]
- Wang H, He L, Dong J. Risk factors affecting the prognosis of primary liver cancer after surgical treatment. Journal of Navy Medicine 2017;38:43-5.
- Kudo M. Newly Developed Modified ALBI Grade Shows Better Prognostic and Predictive Value for Hepatocellular Carcinoma. Liver Cancer 2022;11:1-8. [Crossref] [PubMed]
- Qiao Y, Wang Y, Chen C, et al. Association between triglyceride-glucose (TyG) related indices and cardiovascular diseases and mortality among individuals with metabolic dysfunction-associated steatotic liver disease: a cohort study of UK Biobank. Cardiovasc Diabetol 2025;24:12. [Crossref] [PubMed]
- Reese T, Kammann J, Pourian A, et al. A Low APRI/ALBI Score Predicts a Favourable Outcome after Liver Resection for Malignancies. HPB 2023;25:S354.
- Kelley RK, Miksad R, Cicin I, et al. Efficacy and safety of cabozantinib for patients with advanced hepatocellular carcinoma based on albumin-bilirubin grade. Br J Cancer 2022;126:569-75. [Crossref] [PubMed]
- Pan Z, Ye YS, Wang ZP, et al. Predictive value of early-stage postoperative albumin-bilirubin grade on the overall survival of hepatocellular carcinoma patients undergoing resection. Eur J Gastroenterol Hepatol 2024;36:1464-9. [Crossref] [PubMed]
- Rivière B, Jaussent A, Macioce V, et al. The triglycerides and glucose (TyG) index: A new marker associated with nonalcoholic steatohepatitis (NASH) in obese patients. Diabetes Metab 2022;48:101345. [Crossref] [PubMed]
- Ding Z, Ge M, Tan Y, et al. The triglyceride-glucose index: a novel predictor of stroke and all-cause mortality in liver transplantation recipients. Cardiovasc Diabetol 2024;23:27. [Crossref] [PubMed]
- Zhou Y, Dong X, Xiu P, et al. Meloxicam, a Selective COX-2 Inhibitor, Mediates Hypoxia-Inducible Factor- (HIF-) 1α Signaling in Hepatocellular Carcinoma. Oxid Med Cell Longev 2020;2020:7079308. [Crossref] [PubMed]
- Sun B, Karin M. Obesity, inflammation, and liver cancer. J Hepatol 2012;56:704-13. [Crossref] [PubMed]
- Zhang X, Ma Y, Xiao X, et al. The Research of the Development of Insulin Resistance in Liver Cancer. China Foreign Medical Treatment 2019;17:177-80.
- Berbudi A, Khairani S, Tjahjadi AI. Interplay Between Insulin Resistance and Immune Dysregulation in Type 2 Diabetes Mellitus: Implications for Therapeutic Interventions. Immunotargets Ther 2025;14:359-82. [Crossref] [PubMed]
- Davey MG, Donlon NE, Donnelly M, et al. Evaluating the influence of the obesity paradox on survival outcomes in patients being treated surgically for rectal cancer-a systematic review and meta-analysis. Int J Colorectal Dis 2025;40:180. [Crossref] [PubMed]
- Liu GM, Zhu WB, Xu JW. Triglyceride-glucose index predicts postoperative overall survival in hepatocellular carcinoma: a retrospective cohort study. Discov Oncol 2024;15:651. [Crossref] [PubMed]
- Liu PT, Hwang AC, Chen JD. Combined effects of hepatitis B virus infection and elevated alanine aminotransferase levels on dyslipidemia. Metabolism 2013;62:220-5. [Crossref] [PubMed]
- Nie Y, Nie L, Li B, et al. Machine learning models for predicting survival in patients of hepatocellular carcinoma with second primary malignancy. Transl Cancer Res 2025;14:6709-22. [Crossref] [PubMed]
- Zhao Y, Dong J, Zhong H, et al. Comprehensive bioinformatic analysis reveals sorafenib response-related prognostic signature in hepatocellular carcinoma. J Gastrointest Oncol 2025;16:2176-92. [Crossref] [PubMed]
- Zong J, Fan Z, Zhang Y. Serum Tumor Markers for Early Diagnosis of Primary Hepatocellular Carcinoma. J Hepatocell Carcinoma 2020;7:413-22. [Crossref] [PubMed]


